Suppr超能文献

根据近缘腐食甲虫(鞘翅目:埋葬虫科:埋葬虫亚科)的龄期对法医相关幼虫进行分类。

Classification of forensically-relevant larvae according to instar in a closely related species of carrion beetles (Coleoptera: Silphidae: Silphinae).

作者信息

Frątczak Katarzyna, Matuszewski Szymon

机构信息

Laboratory of Criminalistics, Adam Mickiewicz University, Św. Marcin 90, 61-809, Poznan, Poland.

Department of Animal Taxonomy and Ecology, Adam Mickiewicz University, Umultowska 89, 61-614, Poznan, Poland.

出版信息

Forensic Sci Med Pathol. 2016 Jun;12(2):193-7. doi: 10.1007/s12024-016-9774-0. Epub 2016 Apr 12.

Abstract

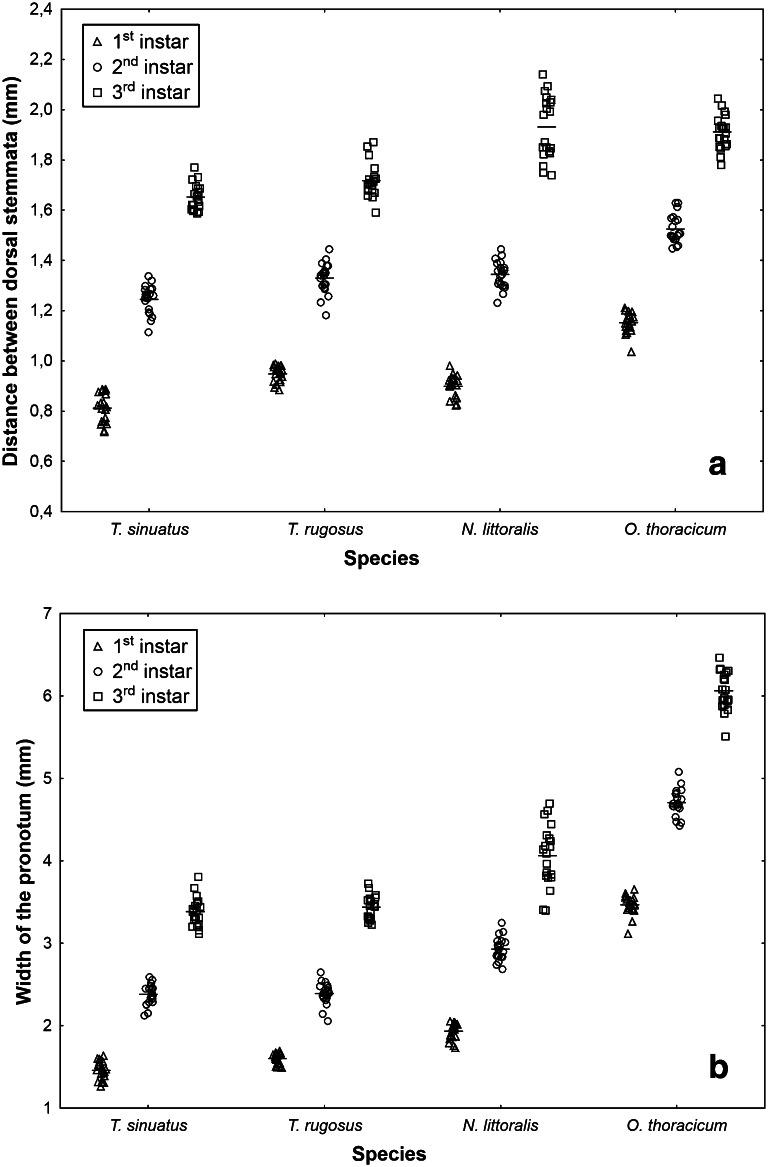
Carrion beetle larvae of Necrodes littoralis (Linnaeus, 1758), Oiceoptoma thoracicum (Linnaeus, 1758), Thanatophilus sinuatus (Fabricius, 1775), and Thanatophilus rugosus (Linnaeus, 1758) (Silphidae: Silphinae) were studied to test the concept that a classifier of the subfamily level may be successfully used to classify larvae according to instar. Classifiers were created and validated using a linear discriminant analysis (LDA). LDA generates classification functions which are used to calculate classification values for tested specimens. The largest value indicates the larval instar to which the specimen should be assigned. Distance between dorsal stemmata and width of the pronotum were used as classification features. The classifier correctly classified larvae of N. littoralis and O. thoracicum, whereas in the case of T. sinuatus and T. rugosus a few misclassifications were recorded. For this reason, a separate genus level classifier was created for larvae of Thanatophilus. We conclude that larval instar classifiers of the subfamily or genus level have very high classification accuracy and therefore they may be safely used to classify carrion beetle larvae according to instar in forensic practice.

摘要

对海滨葬甲(Necrodes littoralis,林奈,1758年)、胸葬甲(Oiceoptoma thoracicum,林奈,1758年)、弯葬甲(Thanatophilus sinuatus,法布尔,1775年)和皱葬甲(Thanatophilus rugosus,林奈,1758年)(埋葬甲科:葬甲亚科)的幼虫进行了研究,以验证亚科水平的分类器能否成功地根据龄期对幼虫进行分类。使用线性判别分析(LDA)创建并验证分类器。LDA生成分类函数,用于计算测试标本的分类值。最大值表示应将标本归入的幼虫龄期。将背单眼之间的距离和前胸宽度用作分类特征。该分类器正确地对海滨葬甲和胸葬甲的幼虫进行了分类,而在弯葬甲和皱葬甲的情况下,记录到了一些错误分类。因此,为葬甲属的幼虫创建了单独的属水平分类器。我们得出结论,亚科或属水平的幼虫龄期分类器具有非常高的分类准确性,因此在法医实践中可以安全地用于根据龄期对埋葬甲幼虫进行分类。

https://cdn.ncbi.nlm.nih.gov/pmc/blobs/e2b0/4859850/f214865305db/12024_2016_9774_Fig1_HTML.jpg

文献AI研究员

20分钟写一篇综述,助力文献阅读效率提升50倍。

立即体验

用中文搜PubMed

大模型驱动的PubMed中文搜索引擎

马上搜索

文档翻译

学术文献翻译模型,支持多种主流文档格式。

立即体验