Suppr超能文献

PCR效率估计的准确性如何:精确且稳健的qPCR效率评估建议

How good is a PCR efficiency estimate: Recommendations for precise and robust qPCR efficiency assessments.

作者信息

Svec David, Tichopad Ales, Novosadova Vendula, Pfaffl Michael W, Kubista Mikael

机构信息

Institute of Biotechnology, Academy of Science of the Czech Republic, Prague, Czech Republic; TATAA Biocenter, Gothenburg, Sweden.

Faculty of Medicine Pilsen, Charles University, Pilsen, Czech Republic.

出版信息

Biomol Detect Quantif. 2015 Mar 11;3:9-16. doi: 10.1016/j.bdq.2015.01.005. eCollection 2015 Mar.

Abstract

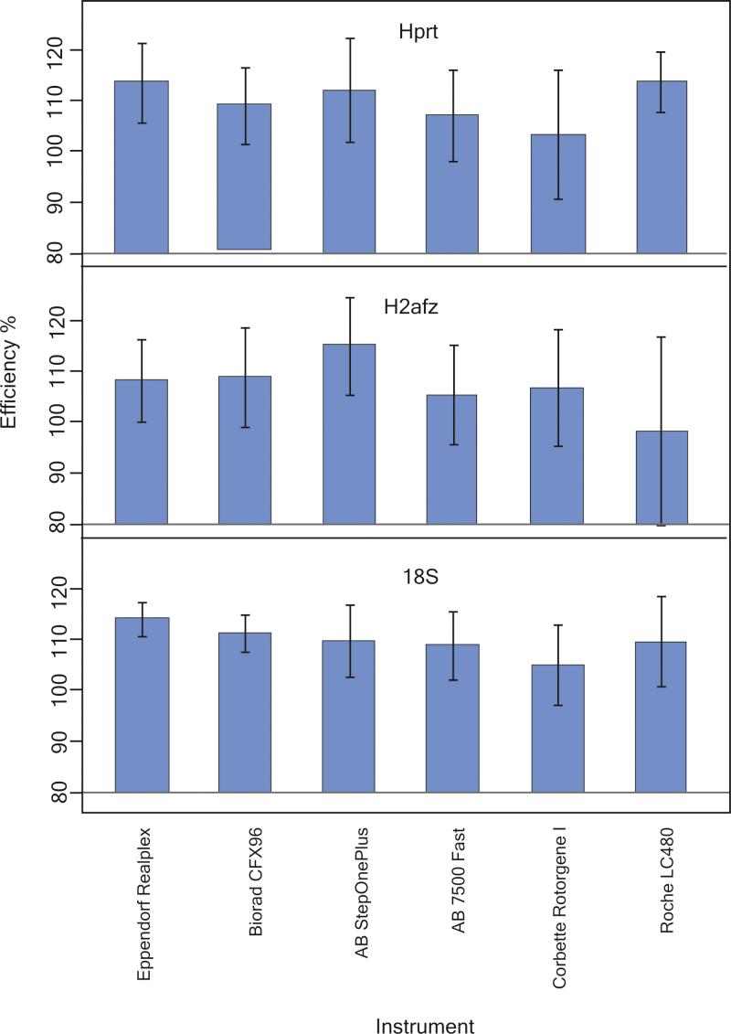
We have examined the imprecision in the estimation of PCR efficiency by means of standard curves based on strategic experimental design with large number of technical replicates. In particular, how robust this estimation is in terms of a commonly varying factors: the instrument used, the number of technical replicates performed and the effect of the volume transferred throughout the dilution series. We used six different qPCR instruments, we performed 1-16 qPCR replicates per concentration and we tested 2-10 μl volume of analyte transferred, respectively. We find that the estimated PCR efficiency varies significantly across different instruments. Using a Monte Carlo approach, we find the uncertainty in the PCR efficiency estimation may be as large as 42.5% (95% CI) if standard curve with only one qPCR replicate is used in 16 different plates. Based on our investigation we propose recommendations for the precise estimation of PCR efficiency: (1) one robust standard curve with at least 3-4 qPCR replicates at each concentration shall be generated, (2) the efficiency is instrument dependent, but reproducibly stable on one platform, and (3) using a larger volume when constructing serial dilution series reduces sampling error and enables calibration across a wider dynamic range.

摘要

我们通过基于具有大量技术重复的策略性实验设计的标准曲线,研究了PCR效率估计中的不精确性。特别是,这种估计在一些常见的可变因素方面的稳健性如何:所使用的仪器、进行的技术重复次数以及在整个稀释系列中转移体积的影响。我们使用了六种不同的定量PCR仪器,每种浓度分别进行了1至16次定量PCR重复,并分别测试了2至10微升转移的分析物体积。我们发现,不同仪器之间估计的PCR效率差异显著。使用蒙特卡洛方法,我们发现如果在16个不同平板中仅使用一个定量PCR重复的标准曲线,PCR效率估计中的不确定性可能高达42.5%(95%置信区间)。基于我们的研究,我们提出了精确估计PCR效率的建议:(1)应生成一条稳健的标准曲线,每个浓度至少有3至4次定量PCR重复;(2)效率取决于仪器,但在一个平台上具有可重复的稳定性;(3)构建系列稀释系列时使用较大体积可减少采样误差,并能在更宽的动态范围内进行校准。

https://cdn.ncbi.nlm.nih.gov/pmc/blobs/824b/4822216/2dc4fa927b82/gr1.jpg

文献AI研究员

20分钟写一篇综述,助力文献阅读效率提升50倍。

立即体验

用中文搜PubMed

大模型驱动的PubMed中文搜索引擎

马上搜索

文档翻译

学术文献翻译模型,支持多种主流文档格式。

立即体验