Suppr超能文献

α-肾上腺素能受体的基因变异与血管反应

Genetic variation in the alpha-adrenergic receptor and vascular response.

作者信息

Adefurin A, Ghimire L V, Kohli U, Muszkat M, Sofowora G G, Li C, Levinson R T, Paranjape S Y, Stein C M, Kurnik D

机构信息

Division of Clinical Pharmacology, Departments of Medicine and Pharmacology, Vanderbilt University School of Medicine, Nashville, TN, USA.

Department of Biostatistics, Center for Human Genetics Research, Vanderbilt University School of Medicine, Nashville, TN, USA.

出版信息

Pharmacogenomics J. 2017 Jul;17(4):366-371. doi: 10.1038/tpj.2016.29. Epub 2016 Apr 19.

Abstract

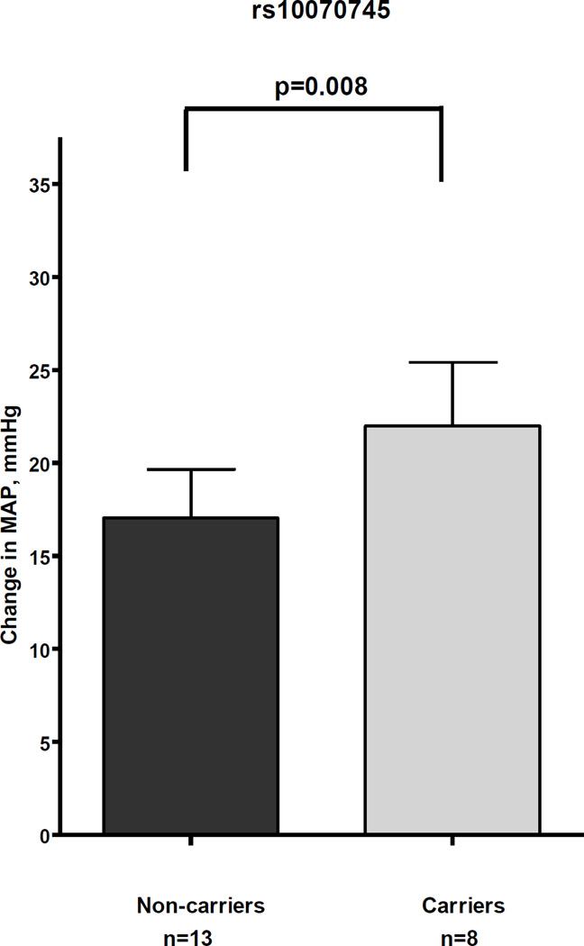
The alpha (α)-adrenergic receptors contribute to vasoconstriction in humans. We tested the hypothesis that variation in the ADRA1B gene contributes to interindividual variability and ethnic differences in adrenergic vasoconstriction. We measured dorsal hand vein responses to increasing doses of phenylephrine in 64 Caucasians and 41 African Americans and genotyped 34 ADRA1B variants. We validated findings in another model of catecholamine-induced vasoconstriction, the increase in mean arterial pressure (ΔMAP) during a cold pressor test (CPT). One ADRA1B variant, rs10070745, present in 14 African-American heterozygotes but not in Caucasians, was associated with a lower phenylephrine ED (geometric mean (95% confidence interval), 144 (69-299) ng ml) compared with 27 African-American non-carriers (208 (130-334) ng ml; P=0.015) and contributed to the ethnic differences in ED. The same variant was also associated with a greater ΔMAP during CPT (P=0.008). In conclusion, ADRA1B rs10070745 was significantly associated with vasoconstrictor responses after adrenergic stimulation and contributed to the ethnic difference in phenylephrine sensitivity.

摘要

α-肾上腺素能受体在人体血管收缩过程中发挥作用。我们检验了如下假设:ADRA1B基因的变异导致了肾上腺素能血管收缩的个体间差异和种族差异。我们测量了64名白种人和41名非裔美国人在给予递增剂量去氧肾上腺素后手背静脉的反应,并对34个ADRA1B变体进行了基因分型。我们在儿茶酚胺诱导的血管收缩的另一个模型——冷加压试验(CPT)期间平均动脉压的升高(ΔMAP)中验证了研究结果。一个ADRA1B变体rs10070745存在于14名非裔美国杂合子中,而在白种人中不存在,与较低的去氧肾上腺素ED50(几何平均数(95%置信区间),144(69 - 299)ng/ml)相关,相比之下,27名非裔美国非携带者的ED50为208(130 - 334)ng/ml;P = 0.015),并且导致了ED50的种族差异。相同的变体在CPT期间也与更大的ΔMAP相关(P = 0.008)。总之,ADRA1B rs10070745与肾上腺素能刺激后的血管收缩反应显著相关,并导致了去氧肾上腺素敏感性的种族差异。

https://cdn.ncbi.nlm.nih.gov/pmc/blobs/fe5c/5071105/7121ac5bea9d/nihms764328f1.jpg

文献检索

告别复杂PubMed语法,用中文像聊天一样搜索,搜遍4000万医学文献。AI智能推荐,让科研检索更轻松。

立即免费搜索

文件翻译

保留排版,准确专业,支持PDF/Word/PPT等文件格式,支持 12+语言互译。

免费翻译文档

深度研究

AI帮你快速写综述,25分钟生成高质量综述,智能提取关键信息,辅助科研写作。

立即免费体验