Suppr超能文献

采用骨唾液蛋白对骨科钛植入物进行表面功能化处理。

Surface Functionalization of Orthopedic Titanium Implants with Bone Sialoprotein.

作者信息

Baranowski Andreas, Klein Anja, Ritz Ulrike, Ackermann Angelika, Anthonissen Joris, Kaufmann Kerstin B, Brendel Christian, Götz Hermann, Rommens Pol M, Hofmann Alexander

机构信息

Department of Orthopedics and Traumatology, University Medical Centre, Johannes Gutenberg University, Mainz, Germany.

Princess Margaret Cancer Centre, University Health Network, Toronto, Ontario, Canada.

出版信息

PLoS One. 2016 Apr 25;11(4):e0153978. doi: 10.1371/journal.pone.0153978. eCollection 2016.

Abstract

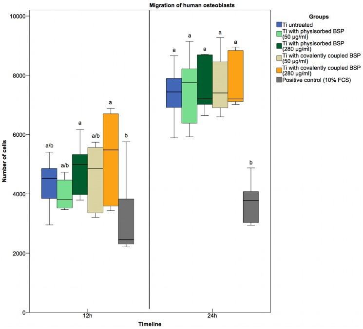
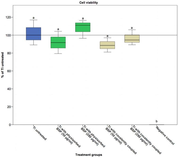
Orthopedic implant failure due to aseptic loosening and mechanical instability remains a major problem in total joint replacement. Improving osseointegration at the bone-implant interface may reduce micromotion and loosening. Bone sialoprotein (BSP) has been shown to enhance bone formation when coated onto titanium femoral implants and in rat calvarial defect models. However, the most appropriate method of BSP coating, the necessary level of BSP coating, and the effect of BSP coating on cell behavior remain largely unknown. In this study, BSP was covalently coupled to titanium surfaces via an aminosilane linker (APTES), and its properties were compared to BSP applied to titanium via physisorption and untreated titanium. Cell functions were examined using primary human osteoblasts (hOBs) and L929 mouse fibroblasts. Gene expression of specific bone turnover markers at the RNA level was detected at different intervals. Cell adhesion to titanium surfaces treated with BSP via physisorption was not significantly different from that of untreated titanium at any time point, whereas BSP application via covalent coupling caused reduced cell adhesion during the first few hours in culture. Cell migration was increased on titanium disks that were treated with higher concentrations of BSP solution, independent of the coating method. During the early phases of hOB proliferation, a suppressive effect of BSP was observed independent of its concentration, particularly when BSP was applied to the titanium surface via physisorption. Although alkaline phosphatase activity was reduced in the BSP-coated titanium groups after 4 days in culture, increased calcium deposition was observed after 21 days. In particular, the gene expression level of RUNX2 was upregulated by BSP. The increase in calcium deposition and the stimulation of cell differentiation induced by BSP highlight its potential as a surface modifier that could enhance the osseointegration of orthopedic implants. Both physisorption and covalent coupling of BSP are similarly effective, feasible methods, although a higher BSP concentration is recommended.

摘要

由于无菌性松动和机械不稳定导致的骨科植入物失败仍然是全关节置换中的一个主要问题。改善骨-植入物界面的骨整合可能会减少微动和松动。骨涎蛋白(BSP)已被证明在涂覆于钛股骨植入物上以及在大鼠颅骨缺损模型中可增强骨形成。然而,BSP涂层的最合适方法、BSP涂层的必要水平以及BSP涂层对细胞行为的影响在很大程度上仍不清楚。在本研究中,BSP通过氨基硅烷连接剂(APTES)共价偶联到钛表面,并将其性能与通过物理吸附应用于钛的BSP以及未处理的钛进行比较。使用原代人成骨细胞(hOBs)和L929小鼠成纤维细胞检测细胞功能。在不同时间间隔检测RNA水平上特定骨转换标志物的基因表达。在任何时间点,通过物理吸附用BSP处理的钛表面的细胞粘附与未处理的钛没有显著差异,而通过共价偶联应用BSP在培养的最初几个小时导致细胞粘附减少。在用较高浓度BSP溶液处理的钛盘上细胞迁移增加,与涂层方法无关。在hOB增殖的早期阶段,观察到BSP的抑制作用与其浓度无关,特别是当BSP通过物理吸附应用于钛表面时。尽管培养4天后BSP涂层钛组的碱性磷酸酶活性降低,但21天后观察到钙沉积增加。特别是,RUNX2的基因表达水平被BSP上调。BSP诱导的钙沉积增加和细胞分化刺激突出了其作为可增强骨科植入物骨整合的表面改性剂的潜力。BSP的物理吸附和共价偶联都是同样有效、可行的方法,尽管建议使用较高的BSP浓度。

https://cdn.ncbi.nlm.nih.gov/pmc/blobs/1829/4844107/ee01f85def4b/pone.0153978.g001.jpg

文献AI研究员

20分钟写一篇综述,助力文献阅读效率提升50倍。

立即体验

用中文搜PubMed

大模型驱动的PubMed中文搜索引擎

马上搜索

文档翻译

学术文献翻译模型,支持多种主流文档格式。

立即体验