Zhang Lanlan, He Lixiu, Gong Jin, Liu Chuntao
Department of Respiration Medicine, West China Hospital, Sichuan University, Chengdu 610041, China.
Hanlin Tongjin Clinic, Chengdu 610071, China.
Biomed Res Int. 2016;2016:9868704. doi: 10.1155/2016/9868704. Epub 2016 Mar 29.
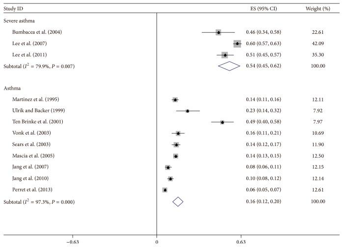
Irreversible airway obstruction (IAO) is a subtype of asthma and relates to poorer prognosis in some asthma patients. However, the prevalence and risk factors for IAO are unknown. A systematic review regarding controlled clinical studies (cohort, case-control studies) on IAO asthma in adult and/or children affected by asthma/early wheeze was performed. Eighteen papers were identified in this study. It was reported that the incidence of IAO at random effects or fixed effects in severe asthma and nonsevere asthma was 0.54 (95% CI: 0.45-0.62) and 0.16 (95% CI: 0.12-0.20), respectively. In IAO asthma, the pooled odds ratio (OR) related to smoking exposure was 2.22 (95% CI: 1.82-2.73), the OR for male, smoking, and fractional exhaled nitric oxide (FENO) was 2.22 (95% CI: 1.82-2.7), 1.79 (95% CI: 1.46-2.19), and 2.16 (95% CI: 1.05-4.43), respectively, suggesting these factors increase the risk of IAO. However, a decreased OR in IAO asthma was observed due to rhinitis (OR = 0.31, 95% CI: 0.24-0.40), atopy (OR = 0.584, 95% CI: 0.466-0.732), and atopic dermatitis (OR = 0.60, 95% CI: 0.42-0.85), indicating these factors are associated with reduced risk of IAO. IAO in asthma is associated with gender, smoking, FENO, rhinitis, atopy, and atopic dermatitis.
不可逆性气道阻塞(IAO)是哮喘的一种亚型,与部分哮喘患者较差的预后相关。然而,IAO的患病率及危险因素尚不清楚。我们对有关成年和/或儿童哮喘/早期喘息患者IAO哮喘的对照临床研究(队列研究、病例对照研究)进行了系统综述。本研究共纳入18篇论文。据报道,重度哮喘和非重度哮喘中IAO在随机效应或固定效应下的发生率分别为0.54(95%置信区间:0.45 - 0.62)和0.16(95%置信区间:0.12 - 0.20)。在IAO哮喘中,与吸烟暴露相关的合并比值比(OR)为2.22(95%置信区间:1.82 - 2.73),男性、吸烟和呼出一氧化氮分数(FENO)的OR分别为2.22(95%置信区间:1.82 - 2.7)、1.79(95%置信区间:1.46 - 2.19)和2.16(95%置信区间:1.05 - 4.43),提示这些因素会增加IAO的风险。然而,在IAO哮喘中,鼻炎(OR = 0.31,95%置信区间:0.24 - 0.40)、特应性(OR = 0.584,95%置信区间:0.466 - 0.732)和特应性皮炎(OR = 0.60,95%置信区间:0.42 - 0.85)导致OR降低,表明这些因素与IAO风险降低相关。哮喘中的IAO与性别、吸烟、FENO、鼻炎、特应性和特应性皮炎有关。