Suppr超能文献

基于全身炎症反应标志物的列线图预测可切除胃癌患者D2胃切除术后的生存情况。

Nomogram based on systemic inflammatory response markers predicting the survival of patients with resectable gastric cancer after D2 gastrectomy.

作者信息

Liu Jianjun, Geng Qirong, Chen Shangxiang, Liu Xuechao, Kong Pengfei, Zhou Zhiwei, Zhan Youqing, Xu Dazhi

机构信息

State Key Laboratory of Oncology in South China, Collaborative Innovation Center for Cancer Medicine, Guangzhou, China.

Department of Gastric and Pancreatic Surgery, Sun Yat-sen University Cancer Center, Guangzhou, China.

出版信息

Oncotarget. 2016 Jun 21;7(25):37556-37565. doi: 10.18632/oncotarget.8788.

Abstract

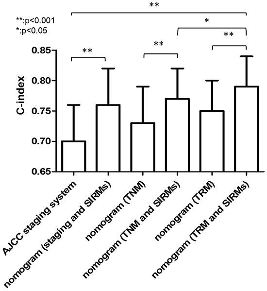
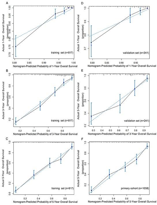
This study aimed to construct a nomogram to predict survival of patients with resectable gastric cancer (RGC) based on both clinicopathology characteristics and systemic inflammatory response markers (SIRMs). Of 3,452 RGC patients after D2 gastrectomy at the Sun Yat-sen University Cancer Center, 1058 patients who met the inclusion criterion were analyzed. The patients operated on from January 1, 2005 to December 31, 2009 were assigned to the training set (817 patients) to establish a nomogram, and the rest (241 patients) were selected as validation set. Based on the training set, seven independent risk factors were selected in the nomogram. The calibration curves for probability of 1-year, 3-year and 5-year overall survival (OS) showed satisfactory accordance between nomogram prediction and actual observation. When the metastatic lymph node stage (mLNS) is replaced by metastasis lymph node ratio (mLNR) in validation set, the C-index in predicting OS rise from 0.77 to 0.79, higher than that of 7th American Joint Committee on Cancer 7th (AJCC) staging system (0.70; p<0.001). In conclusions, the proposed nomogram which including mLNR and routine detected SIRMs resulted in optimal survival prediction for RGC patients after D2 gastrectomy.

摘要

本研究旨在构建一种列线图,基于临床病理特征和全身炎症反应标志物(SIRMs)预测可切除胃癌(RGC)患者的生存情况。在中山大学肿瘤防治中心接受D2胃切除术后的3452例RGC患者中,分析了符合纳入标准的1058例患者。将2005年1月1日至2009年12月31日接受手术的患者分配到训练集(817例患者)以建立列线图,其余(241例患者)作为验证集。基于训练集,在列线图中选择了7个独立危险因素。1年、3年和5年总生存(OS)概率的校准曲线显示列线图预测与实际观察结果具有良好的一致性。在验证集中,当将转移淋巴结分期(mLNS)替换为转移淋巴结比率(mLNR)时,预测OS的C指数从0.77升至0.79,高于美国癌症联合委员会第7版(AJCC)分期系统(0.70;p<0.001)。总之,所提出的包含mLNR和常规检测的SIRMs的列线图对D2胃切除术后的RGC患者具有最佳的生存预测能力。

https://cdn.ncbi.nlm.nih.gov/pmc/blobs/cb9e/5122331/32e09ed8d55c/oncotarget-07-37556-g001.jpg

文献AI研究员

20分钟写一篇综述,助力文献阅读效率提升50倍。

立即体验

用中文搜PubMed

大模型驱动的PubMed中文搜索引擎

马上搜索

文档翻译

学术文献翻译模型,支持多种主流文档格式。

立即体验