Suppr超能文献

社交焦虑障碍患者一周内的早期改善可预测艾司西酞普兰的治疗反应:一项初步研究

Early Improvement in One Week Predicts the Treatment Response to Escitalopram in Patients with Social Anxiety Disorder: A Preliminary Study.

作者信息

Oh Kang-Seob, Shin Eunsook, Ha Juwon, Shin Dongwon, Shin Youngchul, Lim Se-Won

机构信息

Department of Psychiatry, Kangbuk Samsung Hospital, Sungkyunkwan University School of Medicine, Seoul, Korea.

Department of Psychiatry, Myongji Hospital, Seonam University School of Medicine, Goyang, Korea.

出版信息

Clin Psychopharmacol Neurosci. 2016 May 31;14(2):161-7. doi: 10.9758/cpn.2016.14.2.161.

Abstract

OBJECTIVE

Social anxiety disorder (SAD) shows relatively delayed responses to pharmacotherapy when compared to other anxiety disorders. Therefore, more effective early therapeutic decisions can be made if the therapeutic response is predictable as early as possible. We studied whether the therapeutic response at 12 weeks is predictable based on the early improvement with escitalopram at 1 week.

METHODS

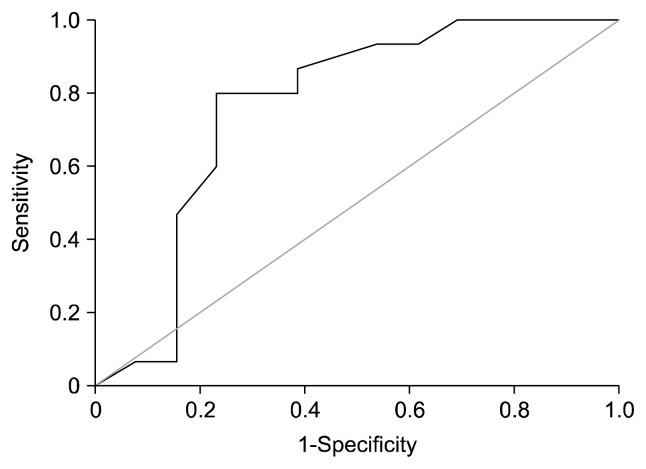
The subjects were 28 outpatients diagnosed with SAD. The subjects took 10-20 mg/day of escitalopram. The results of the Liebowitz social anxiety scale (LSAS), Hamilton anxiety rating scale, and Montgomery-Asberg depression rating scale were evaluated at 0, 1, 4, 8, and 12 weeks of treatment. Early improvement was defined as a ≥10% reduction in the LSAS total at 1 week of treatment, and endpoint response was defined as a ≥35% reduction in the LSAS total score. The correlation between clinical characteristics and therapeutic responses was analyzed by simple linear regression. The correlation between early improvement responses and endpoint responses was analyzed by multivariate logistic regression analysis and receiver operating characteristic curves.

RESULTS

When we adjusted the influence of a ≥35% reduction in the LSAS total endpoint score on a ≥10% reduction of the LSAS total score at 1 week of treatment for the patients' age, the early improvement group at 1 week of treatment was expected to show stronger endpoint responses compared to the group with no early improvement.

CONCLUSION

The results suggest that a ≥10% reduction in the LSAS total score in a week can predict endpoint treatment response.

摘要

目的

与其他焦虑症相比,社交焦虑障碍(SAD)对药物治疗的反应相对延迟。因此,如果能尽早预测治疗反应,就能做出更有效的早期治疗决策。我们研究了基于艾司西酞普兰治疗1周时的早期改善情况,是否可以预测12周时的治疗反应。

方法

研究对象为28例被诊断为SAD的门诊患者。这些患者每天服用10 - 20毫克艾司西酞普兰。在治疗的0、1、4、8和12周时,评估利博维茨社交焦虑量表(LSAS)、汉密尔顿焦虑评定量表和蒙哥马利 - 阿斯伯格抑郁评定量表的结果。早期改善定义为治疗1周时LSAS总分降低≥10%,终点反应定义为LSAS总分降低≥35%。通过简单线性回归分析临床特征与治疗反应之间的相关性。通过多因素逻辑回归分析和受试者工作特征曲线分析早期改善反应与终点反应之间的相关性。

结果

当我们针对患者年龄调整治疗1周时LSAS总分降低≥35%对LSAS总分降低≥10%的影响后,治疗1周时的早期改善组预计比无早期改善组表现出更强的终点反应。

结论

结果表明,1周内LSAS总分降低≥10%可预测终点治疗反应。

https://cdn.ncbi.nlm.nih.gov/pmc/blobs/0d1f/4857863/e20634715de9/cpn-14-161f1.jpg

文献AI研究员

20分钟写一篇综述,助力文献阅读效率提升50倍。

立即体验

用中文搜PubMed

大模型驱动的PubMed中文搜索引擎

马上搜索

文档翻译

学术文献翻译模型,支持多种主流文档格式。

立即体验