Suppr超能文献

通过应用模块化铅衬间隔器治疗活动期舌癌时预防高剂量率近距离放射治疗的并发症

Preventing Complications from High-Dose Rate Brachytherapy when Treating Mobile Tongue Cancer via the Application of a Modular Lead-Lined Spacer.

作者信息

Murakami Shumei, Verdonschot Rinus G, Kakimoto Naoya, Sumida Iori, Fujiwara Masateru, Ogawa Kazuhiko, Furukawa Souhei

机构信息

Department of Oral and Maxillofacial Radiology, Osaka University Graduate School of Dentistry, Suita, Osaka, Japan.

Department of Radiation Oncology, Osaka University, Graduate School of Medicine, Suita, Osaka, Japan.

出版信息

PLoS One. 2016 Apr 29;11(4):e0154226. doi: 10.1371/journal.pone.0154226. eCollection 2016.

Abstract

PURPOSE

To point out the advantages and drawbacks of high-dose rate brachytherapy in the treatment of mobile tongue cancer and indicate the clinical importance of modular lead-lined spacers when applying this technique to patients.

METHODS

First, all basic steps to construct the modular spacer are shown. Second, we simulate and evaluate the dose rate reduction for a wide range of spacer configurations.

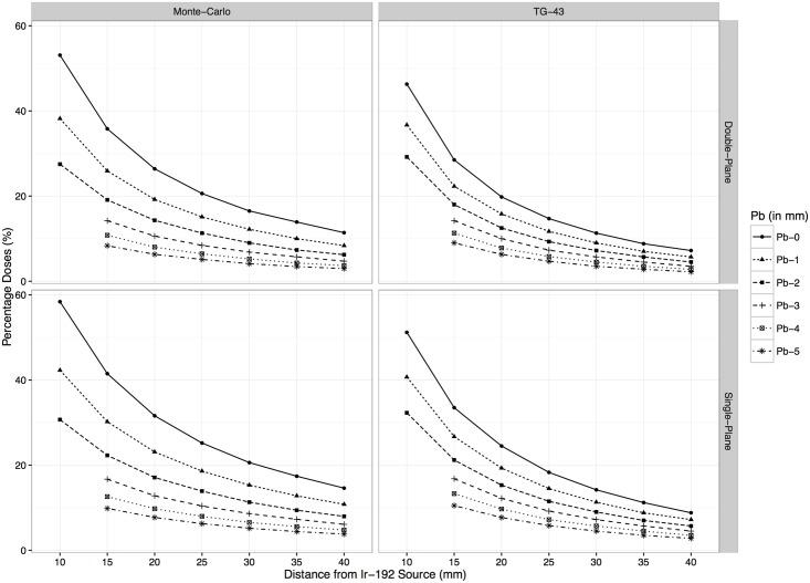
RESULTS

With increasing distance to the source absorbed doses dropped considerably. Significantly more shielding was obtained when lead was added to the spacer and this effect was most pronounced on shorter (i.e. more clinically relevant) distances to the source.

CONCLUSIONS

The modular spacer represents an important addition to the planning and treatment stages of mobile tongue cancer using HDR-ISBT.

摘要

目的

指出高剂量率近距离放射治疗在治疗活动期舌癌中的优缺点,并表明在对患者应用该技术时模块化铅衬垫的临床重要性。

方法

首先,展示构建模块化衬垫的所有基本步骤。其次,我们针对多种衬垫配置模拟并评估剂量率降低情况。

结果

随着与放射源距离的增加,吸收剂量显著下降。当在衬垫中添加铅时,屏蔽效果明显增强,且这种效果在距放射源较短(即更具临床相关性)的距离上最为显著。

结论

模块化衬垫是使用高剂量率近距离组织间插植放疗治疗活动期舌癌的计划和治疗阶段的一项重要补充。

https://cdn.ncbi.nlm.nih.gov/pmc/blobs/7afb/4851388/9faf89be3127/pone.0154226.g001.jpg

文献AI研究员

20分钟写一篇综述,助力文献阅读效率提升50倍。

立即体验

用中文搜PubMed

大模型驱动的PubMed中文搜索引擎

马上搜索

文档翻译

学术文献翻译模型,支持多种主流文档格式。

立即体验