Bartrons Mireia, Catalan Jordi, Penuelas Josep
CSIC, Global Ecology Unit CREAF-CSIC-UAB. Cerdanyola del Vallès 08193, Barcelona, Catalonia, Spain.
BETA Technological Centre (Tecnio), Aquatic Ecology Group, University of Vic-Central University of Catalonia. Vic 08500, Barcelona, Catalonia, Spain.
Sci Rep. 2016 May 5;6:25446. doi: 10.1038/srep25446.
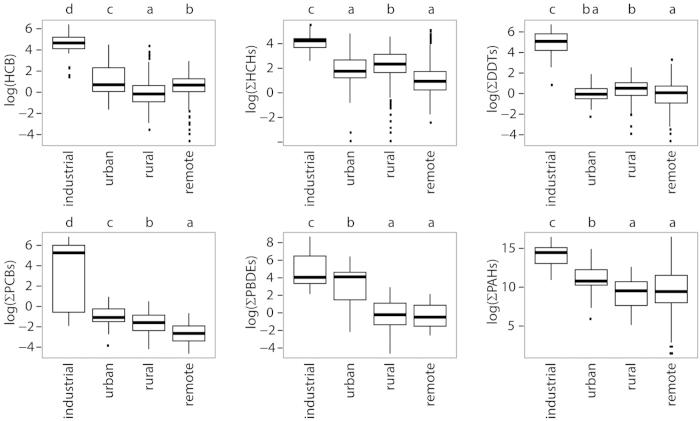
Persistent organic pollutants (POPs) and polycyclic aromatic hydrocarbons (PAHs) used in agricultural, industrial, and domestic applications are widely distributed and bioaccumulate in food webs, causing adverse effects to the biosphere. A review of published data for 1977-2015 for a wide range of vegetation around the globe indicates an extensive load of pollutants in vegetation. On a global perspective, the accumulation of POPs and PAHs in vegetation depends on the industrialization history across continents and distance to emission sources, beyond organism type and climatic variables. International regulations initially reduced the concentrations of POPs in vegetation in rural areas, but concentrations of HCB, HCHs, and DDTs at remote sites did not decrease or even increased over time, pointing to a remobilization of POPs from source areas to remote sites. The concentrations of compounds currently in use, PBDEs and PAHs, are still increasing in vegetation. Differential congener specific accumulation is mostly determined by continent-in accordance to the different regulations of HCHs, PCBs and PBDEs in different countries-and by plant type (PAHs). These results support a concerning general accumulation of toxic pollutants in most ecosystems of the globe that for some compounds is still far from being mitigated in the near future.
用于农业、工业和家庭的持久性有机污染物(POPs)和多环芳烃(PAHs)分布广泛,并在食物网中生物累积,对生物圈造成不利影响。对1977年至2015年全球范围内各种植被的已发表数据进行的综述表明,植被中存在大量污染物。从全球角度来看,植被中持久性有机污染物和多环芳烃的积累取决于各大洲的工业化历史以及与排放源的距离,而非生物类型和气候变量。国际法规最初降低了农村地区植被中持久性有机污染物的浓度,但偏远地区六氯苯、六氯环己烷和滴滴涕的浓度并未随时间下降,甚至有所上升,这表明持久性有机污染物从源区重新迁移到了偏远地区。目前正在使用的化合物多溴二苯醚和多环芳烃在植被中的浓度仍在上升。同系物的差异特定积累主要由各大洲决定——这与不同国家对六氯环己烷、多氯联苯和多溴二苯醚的不同规定有关——以及植物类型(多环芳烃)。这些结果表明,全球大多数生态系统中有毒污染物普遍积累,令人担忧,而且对于某些化合物来说,在不久的将来仍远未得到缓解。