• 文献检索
  • 文档翻译
  • 深度研究
  • 学术资讯
  • Suppr Zotero 插件Zotero 插件
  • 邀请有礼
  • 套餐&价格
  • 历史记录
应用&插件
Suppr Zotero 插件Zotero 插件浏览器插件Mac 客户端Windows 客户端微信小程序
定价
高级版会员购买积分包购买API积分包
服务
文献检索文档翻译深度研究API 文档MCP 服务
关于我们
关于 Suppr公司介绍联系我们用户协议隐私条款
关注我们

Suppr 超能文献

核心技术专利:CN118964589B侵权必究
粤ICP备2023148730 号-1Suppr @ 2026

文献检索

告别复杂PubMed语法,用中文像聊天一样搜索,搜遍4000万医学文献。AI智能推荐,让科研检索更轻松。

立即免费搜索

文件翻译

保留排版,准确专业,支持PDF/Word/PPT等文件格式,支持 12+语言互译。

免费翻译文档

深度研究

AI帮你快速写综述,25分钟生成高质量综述,智能提取关键信息,辅助科研写作。

立即免费体验

三氯生对孕鼠胎盘的内分泌干扰作用

Endocrine Disrupting Effects of Triclosan on the Placenta in Pregnant Rats.

作者信息

Feng Yixing, Zhang Pin, Zhang Zhaobin, Shi Jiachen, Jiao Zhihao, Shao Bing

机构信息

Beijing Key Laboratory of Diagnostic and Traceability Technologies for Food Poisoning, Beijing Center for Disease Control and Prevention, Beijing, China.

College of Urban and Environmental Sciences, MOE Laboratory for Earth Surface Processes, Peking University, Beijing, China.

出版信息

PLoS One. 2016 May 5;11(5):e0154758. doi: 10.1371/journal.pone.0154758. eCollection 2016.

DOI:10.1371/journal.pone.0154758
PMID:27149376
原文链接:https://pmc.ncbi.nlm.nih.gov/articles/PMC4858197/
Abstract

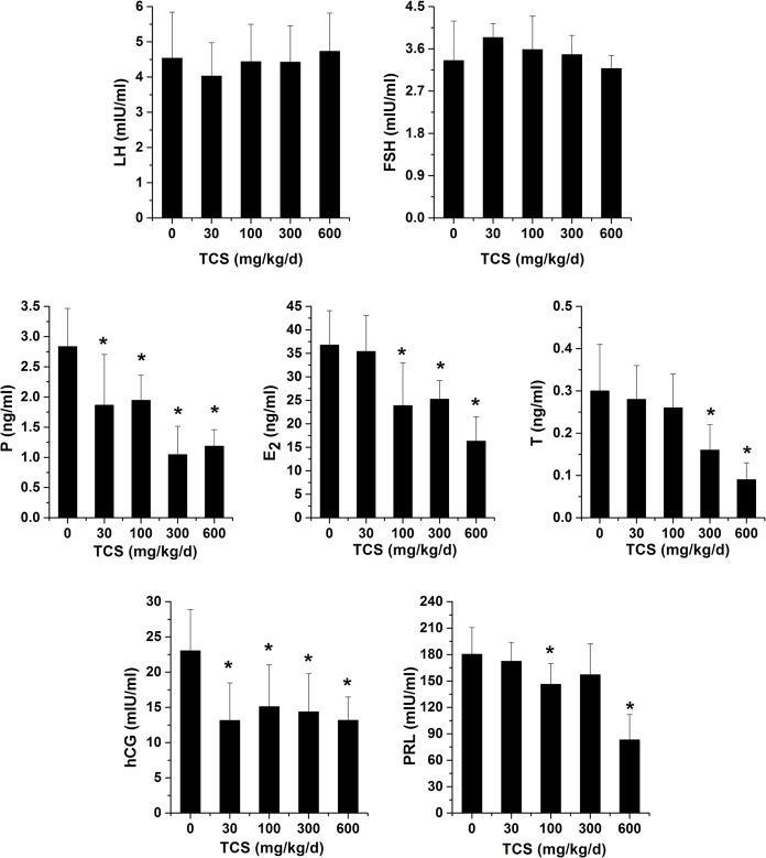
Triclosan (TCS) is a broad-spectrum antimicrobial agent that is frequently used in pharmaceuticals and personal care products. Reports have shown that TCS is a potential endocrine disruptor; however, the potential effects of TCS on placental endocrine function are unclear. The aim of this study was to investigate the endocrine disrupting effects of TCS on the placenta in pregnant rats. Pregnant rats from gestational day (GD) 6 to GD 20 were treated with 0, 30, 100, 300 and 600 mg/kg/d TCS followed by analysis of various biochemical parameters. Of the seven tissues examined, the greatest bioaccumulation of TCS was observed in the placenta. Reduction of gravid uterine weight and the occurrence of abortion were observed in the 600 mg/kg/d TCS-exposed group. Moreover, hormone detection demonstrated that the serum levels of progesterone (P), estradiol (E2), testosterone (T), human chorionic gonadotropin (hCG) and prolactin (PRL) were decreased in groups exposed to higher doses of TCS. Real-time quantitative reverse transcriptase-polymerase chain reaction (Q-RT-PCR) analysis revealed a significant increase in mRNA levels for placental steroid metabolism enzymes, including UDP-glucuronosyltransferase 1A1 (UGT1A1), estrogen sulfotransferase 1E1 (SULT1E1), steroid 5α-reductase 1 (SRD5A1) and steroid 5α-reductase 2 (SRD5A2). Furthermore, the transcriptional expression levels of progesterone receptor (PR), estrogen receptor (ERα) and androgen receptor (AR) were up-regulated. Taken together, these data demonstrated that the placenta was a target tissue of TCS and that TCS induced inhibition of circulating steroid hormone production might be related to the altered expression of hormone metabolism enzyme genes in the placenta. This hormone disruption might subsequently affect fetal development and growth.

摘要

三氯生(TCS)是一种广谱抗菌剂,常用于药品和个人护理产品中。报告显示,TCS是一种潜在的内分泌干扰物;然而,TCS对胎盘内分泌功能的潜在影响尚不清楚。本研究的目的是调查TCS对妊娠大鼠胎盘的内分泌干扰作用。对妊娠第6天至第20天的妊娠大鼠给予0、30、100、300和600mg/kg/d的TCS处理,随后分析各种生化参数。在所检查的七种组织中,TCS在胎盘中的生物蓄积量最大。在暴露于600mg/kg/d TCS的组中观察到妊娠子宫重量减轻和流产的发生。此外,激素检测表明,暴露于较高剂量TCS的组中,血清孕酮(P)、雌二醇(E2)、睾酮(T)、人绒毛膜促性腺激素(hCG)和催乳素(PRL)水平降低。实时定量逆转录聚合酶链反应(Q-RT-PCR)分析显示,胎盘类固醇代谢酶的mRNA水平显著升高,包括尿苷二磷酸葡萄糖醛酸基转移酶1A1(UGT1A1)、雌激素磺基转移酶1E1(SULT1E1)、类固醇5α-还原酶1(SRD5A1)和类固醇5α-还原酶2(SRD5A2)。此外,孕酮受体(PR)、雌激素受体(ERα)和雄激素受体(AR)的转录表达水平上调。综上所述,这些数据表明胎盘是TCS的靶组织,TCS诱导的循环类固醇激素产生抑制可能与胎盘中激素代谢酶基因表达的改变有关。这种激素干扰可能随后影响胎儿的发育和生长。

https://cdn.ncbi.nlm.nih.gov/pmc/blobs/2c16/4858197/f6721359598a/pone.0154758.g004.jpg
https://cdn.ncbi.nlm.nih.gov/pmc/blobs/2c16/4858197/c13ded477bac/pone.0154758.g001.jpg
https://cdn.ncbi.nlm.nih.gov/pmc/blobs/2c16/4858197/64be5be4c2d3/pone.0154758.g002.jpg
https://cdn.ncbi.nlm.nih.gov/pmc/blobs/2c16/4858197/cbd099ccae28/pone.0154758.g003.jpg
https://cdn.ncbi.nlm.nih.gov/pmc/blobs/2c16/4858197/f6721359598a/pone.0154758.g004.jpg
https://cdn.ncbi.nlm.nih.gov/pmc/blobs/2c16/4858197/c13ded477bac/pone.0154758.g001.jpg
https://cdn.ncbi.nlm.nih.gov/pmc/blobs/2c16/4858197/64be5be4c2d3/pone.0154758.g002.jpg
https://cdn.ncbi.nlm.nih.gov/pmc/blobs/2c16/4858197/cbd099ccae28/pone.0154758.g003.jpg
https://cdn.ncbi.nlm.nih.gov/pmc/blobs/2c16/4858197/f6721359598a/pone.0154758.g004.jpg

相似文献

1
Endocrine Disrupting Effects of Triclosan on the Placenta in Pregnant Rats.三氯生对孕鼠胎盘的内分泌干扰作用
PLoS One. 2016 May 5;11(5):e0154758. doi: 10.1371/journal.pone.0154758. eCollection 2016.
2
Impacts of prenatal triclosan exposure on fetal reproductive hormones and its potential mechanism.孕期三氯生暴露对胎儿生殖激素的影响及其潜在机制。
Environ Int. 2018 Feb;111:279-286. doi: 10.1016/j.envint.2017.11.007. Epub 2017 Nov 15.
3
Alteration of testicular steroidogenesis and histopathology of reproductive system in male rats treated with triclosan.三氯生处理的雄性大鼠睾丸类固醇生成及生殖系统组织病理学的改变
Reprod Toxicol. 2009 Apr;27(2):177-85. doi: 10.1016/j.reprotox.2008.12.002. Epub 2008 Dec 11.
4
Perfluorooctane sulfonic acid modulates expression of placental steroidogenesis-associated genes and hormone levels in pregnant rats.全氟辛烷磺酸可调节怀孕大鼠胎盘类固醇生成相关基因的表达和激素水平。
Reprod Toxicol. 2023 Jun;118:108390. doi: 10.1016/j.reprotox.2023.108390. Epub 2023 May 4.
5
Evaluation of triclosan in the Hershberger and H295R steroidogenesis assays.评估三氯生在 Hershberger 和 H295R 类固醇生成测定中的作用。
Toxicol Lett. 2018 Jul;291:194-199. doi: 10.1016/j.toxlet.2018.03.001. Epub 2018 Mar 1.
6
Effects of triclosan (TCS) on hormonal balance and genes of hypothalamus-pituitary- gonad axis of juvenile male Yellow River carp (Cyprinus carpio).三氯生(TCS)对幼年雄性黄河鲤(Cyprinus carpio)下丘脑 - 垂体 - 性腺轴激素平衡及基因的影响
Chemosphere. 2018 Feb;193:695-701. doi: 10.1016/j.chemosphere.2017.11.088. Epub 2017 Nov 20.
7
Triclosan causes spontaneous abortion accompanied by decline of estrogen sulfotransferase activity in humans and mice.三氯生会导致人类和小鼠出现自然流产,并伴有雌激素磺基转移酶活性下降。
Sci Rep. 2015 Dec 15;5:18252. doi: 10.1038/srep18252.
8
Effects of triclosan on hormones and reproductive axis in female Yellow River carp (Cyprinus carpio): Potential mechanisms underlying estrogen effect.三氯生对雌性黄河鲤(Cyprinus carpio)激素和生殖轴的影响:雌激素效应的潜在机制
Toxicol Appl Pharmacol. 2017 Dec 1;336:49-54. doi: 10.1016/j.taap.2017.10.005. Epub 2017 Oct 13.
9
Triclosan Suppresses Testicular Steroidogenesis via the miR-6321/JNK/ Nur77 Cascade.三氯生通过miR-6321/JNK/Nur77信号通路抑制睾丸类固醇生成。
Cell Physiol Biochem. 2018;50(6):2029-2045. doi: 10.1159/000495049. Epub 2018 Nov 9.
10
Exposure of pregnant mice to triclosan impairs placental development and nutrient transport.怀孕老鼠接触三氯生会损害胎盘发育和营养物质运输。
Sci Rep. 2017 Mar 21;7:44803. doi: 10.1038/srep44803.

引用本文的文献

1
A systematic review and meta-analysis of the impact of triclosan exposure on human semen quality.三氯生暴露对人类精液质量影响的系统评价与荟萃分析。
Front Toxicol. 2024 Oct 17;6:1469340. doi: 10.3389/ftox.2024.1469340. eCollection 2024.
2
Short-Half-Life Chemicals: Maternal Exposure and Offspring Health Consequences-The Case of Synthetic Phenols, Parabens, and Phthalates.短半衰期化学物质:母体暴露与后代健康后果——以合成酚、对羟基苯甲酸酯和邻苯二甲酸酯为例
Toxics. 2024 Sep 29;12(10):710. doi: 10.3390/toxics12100710.
3
Nanomaterials for Removal of Phenolic Derivatives from Water Systems: Progress and Future Outlooks.

本文引用的文献

1
Reproductive endocrine-disrupting effects of triclosan: Population exposure, present evidence and potential mechanisms.三氯生的生殖内分泌干扰效应:人群暴露、现有证据及潜在机制
Environ Pollut. 2015 Nov;206:195-201. doi: 10.1016/j.envpol.2015.07.001. Epub 2015 Jul 13.
2
Investigation of pharmaceuticals, personal care products and endocrine disrupting chemicals in a tropical urban catchment and the influence of environmental factors.热带城市流域中药物、个人护理产品和内分泌干扰化学物质的调查及其环境因素的影响。
Sci Total Environ. 2015 Dec 1;536:955-963. doi: 10.1016/j.scitotenv.2015.06.041. Epub 2015 Jun 29.
3
用于从水系统中去除酚类衍生物的纳米材料:进展与未来展望
Molecules. 2023 Sep 11;28(18):6568. doi: 10.3390/molecules28186568.
4
Effect of the Aqueous Extract of Leaves on Maternal Reproductive Outcomes and Fetal Development in Wistar Rats.树叶水提取物对Wistar大鼠母体生殖结局和胎儿发育的影响
Curr Issues Mol Biol. 2023 Sep 19;45(9):7617-7629. doi: 10.3390/cimb45090479.
5
Effects of Xenobiotic Compounds on Preeclampsia and Potential Mechanisms.外源化合物对先兆子痫的影响及潜在机制
Toxics. 2023 May 31;11(6):492. doi: 10.3390/toxics11060492.
6
Perfluorooctane sulfonic acid modulates expression of placental steroidogenesis-associated genes and hormone levels in pregnant rats.全氟辛烷磺酸可调节怀孕大鼠胎盘类固醇生成相关基因的表达和激素水平。
Reprod Toxicol. 2023 Jun;118:108390. doi: 10.1016/j.reprotox.2023.108390. Epub 2023 May 4.
7
Adverse effects of triclosan exposure on health and potential molecular mechanisms.三氯生暴露对健康的不良影响及潜在的分子机制。
Sci Total Environ. 2023 Jun 25;879:163068. doi: 10.1016/j.scitotenv.2023.163068. Epub 2023 Mar 23.
8
Puzzling relationship between levels of toxic metals in blood and serum levels of reproductive hormones: Benchmark dose approach in cross-sectional study.血液中有毒金属水平与生殖激素血清水平之间令人困惑的关系:横断面研究中的基准剂量法
All Life. 2022;15(1):1052-1064. doi: 10.1080/26895293.2022.2128439. Epub 2022 Sep 28.
9
Triclosan and Its Consequences on the Reproductive, Cardiovascular and Thyroid Levels.三氯生及其对生殖、心血管和甲状腺水平的影响。
Int J Mol Sci. 2022 Sep 28;23(19):11427. doi: 10.3390/ijms231911427.
10
Developmental Phenotypic and Transcriptomic Effects of Exposure to Nanomolar Levels of 4-Nonylphenol, Triclosan, and Triclocarban in Zebrafish ().纳米摩尔浓度的4-壬基酚、三氯生和三氯卡班暴露对斑马鱼的发育表型和转录组学影响()
Toxics. 2022 Jan 24;10(2):53. doi: 10.3390/toxics10020053.
Triclosan: current status, occurrence, environmental risks and bioaccumulation potential.
三氯生:现状、存在情况、环境风险及生物累积潜力
Int J Environ Res Public Health. 2015 May 22;12(5):5657-84. doi: 10.3390/ijerph120505657.
4
Human fetal exposure to triclosan and triclocarban in an urban population from Brooklyn, New York.纽约布鲁克林城市人口中人类胎儿对三氯生和三氯卡班的暴露情况。
Environ Sci Technol. 2014;48(15):8831-8. doi: 10.1021/es501100w. Epub 2014 Jul 15.
5
Involvement of CRH and hCG in the induction of aromatase by cortisol in human placental syncytiotrophoblasts.促肾上腺皮质激素释放激素(CRH)和人绒毛膜促性腺激素(hCG)在皮质醇诱导人胎盘合体滋养层细胞芳香化酶中的作用。
Placenta. 2014 Jan;35(1):30-6. doi: 10.1016/j.placenta.2013.10.018. Epub 2013 Nov 7.
6
Prenatal exposure to environmental phenols: concentrations in amniotic fluid and variability in urinary concentrations during pregnancy.产前暴露于环境酚类物质:羊水中的浓度和孕期尿液浓度的变化。
Environ Health Perspect. 2013 Oct;121(10):1225-31. doi: 10.1289/ehp.1206335. Epub 2013 Aug 13.
7
Analysis of triclosan and triclocarban in human nails using isotopic dilution liquid chromatography-tandem mass spectrometry.利用同位素稀释液相色谱-串联质谱法分析人指甲中的三氯生和三氯卡班。
J Chromatogr B Analyt Technol Biomed Life Sci. 2013 Sep 1;934:97-101. doi: 10.1016/j.jchromb.2013.07.003. Epub 2013 Jul 13.
8
SRD5A1 and SRD5A2 are associated with treatment for benign prostatic hyperplasia with the combination of 5α-reductase inhibitors and α-adrenergic receptor antagonists.SRD5A1 和 SRD5A2 与 5α-还原酶抑制剂和 α-肾上腺素能受体拮抗剂联合治疗良性前列腺增生有关。
J Urol. 2013 Aug;190(2):615-9. doi: 10.1016/j.juro.2013.03.024. Epub 2013 Mar 14.
9
The effect of triclosan on the uterotrophic response to extended doses of ethinyl estradiol in the weanling rat.三氯生对断乳大鼠大剂量炔雌醇诱导的子宫增重反应的影响。
Reprod Toxicol. 2013 Apr;36:71-7. doi: 10.1016/j.reprotox.2012.12.001. Epub 2012 Dec 20.
10
Disruption of blastocyst implantation by triclosan in mice: impacts of repeated and acute doses and combination with bisphenol-A.三氯生破坏小鼠囊胚着床:重复和急性剂量及与双酚 A 联合的影响。
Reprod Toxicol. 2012 Dec;34(4):607-13. doi: 10.1016/j.reprotox.2012.09.008. Epub 2012 Oct 8.