Molecular Epidemiology and Public Health Laboratory, Hopkirk Research Institute, Massey University, Private Bag, 11 222, Palmerston North 4442, New Zealand.
Department of Biology, University of Florida, Gainesville, FL 32611, USA.; Emerging Pathogens Institute, University of Florida, Gainesville, FL 32611, USA.; Fogarty International Center, National Institutes of Health, Bethesda, MD 20892, USA.
Sci Adv. 2016 Jan 29;2(1):e1500831. doi: 10.1126/sciadv.1500831. eCollection 2016 Jan.
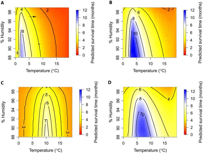
White-nose syndrome is a fungal disease killing bats in eastern North America, but disease is not seen in European bats and is less severe in some North American species. We show that how bats use energy during hibernation and fungal growth rates under different environmental conditions can explain how some bats are able to survive winter with infection and others are not. Our study shows how simple but nonlinear interactions between fungal growth and bat energetics result in decreased survival times at more humid hibernation sites; however, differences between species such as body size and metabolic rates determine the impact of fungal infection on bat survival, allowing European bat species to survive, whereas North American species can experience dramatic decline.
白鼻综合征是一种导致北美东部蝙蝠死亡的真菌病,但在欧洲蝙蝠中未发现该疾病,并且在一些北美物种中病情也较轻。我们表明,蝙蝠在冬眠期间如何利用能量以及在不同环境条件下真菌的生长速度,可以解释为什么有些蝙蝠在感染的情况下仍能过冬,而有些蝙蝠则不能。我们的研究表明,真菌生长和蝙蝠能量之间的简单但非线性相互作用如何导致在更潮湿的冬眠场所的存活时间减少;但是,物种之间的差异(如体型和代谢率)决定了真菌感染对蝙蝠生存的影响,这使得欧洲蝙蝠物种得以存活,而北美物种则可能会经历急剧下降。