Suppr超能文献

从生物活性植物化学物质中筛选抗甲氨蝶呤诱导的细胞遗传毒性的细胞保护剂。

Screening of cytoprotectors against methotrexate-induced cytogenotoxicity from bioactive phytochemicals.

作者信息

Gu Shaobin, Wu Ying, Yang Jianbo

机构信息

College of Food and Bioengineering, Henan University of Science and Technology, Luoyang, China; Luoyang Engineering and Technology Research Center of Microbial Fermentationon, Luoyang, China.

College of Food and Bioengineering, Henan University of Science and Technology, Luoyang, China; Henan Engineering Research Center of Food Material, Luoyang, China.

出版信息

PeerJ. 2016 May 11;4:e1983. doi: 10.7717/peerj.1983. eCollection 2016.

Abstract

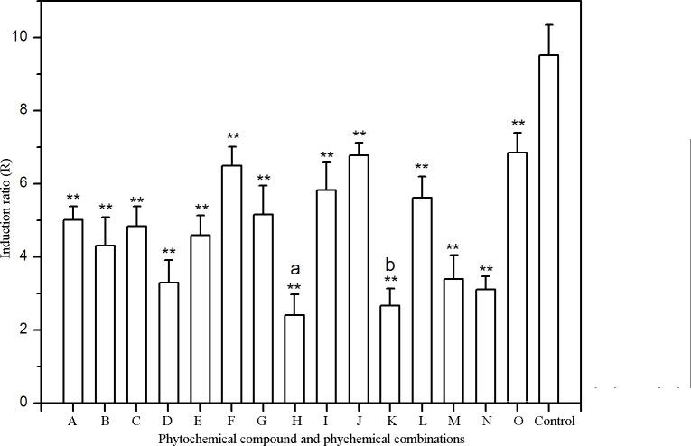
As a well known anti-neoplastic drug, the cytogenotoxicity of methotrexate (MTX) has received more attention in recent years. To develop a new cytoprotector to reduce the risk of second cancers caused by methotrexate, an umu test combined with a micronucleus assay was employed to estimate the cytoprotective effects of ten kinds of bioactive phytochemicals and their combinations. The results showed that allicin, proanthocyanidins, polyphenols, eleutherosides and isoflavones had higher antimutagenic activities than other phytochemicals. At the highest dose tested, the MTX genetoxicity was suppressed by 34.03%∼67.12%. Of all the bioactive phytochemical combinations, the combination of grape seed proanthocyanidins and eleutherosides from Siberian ginseng as well as green tea polyphenols and eleutherosides exhibited stronger antimutagenic effects; the inhibition rate of methotrexate-induced genotoxicity separately reached 74.7 ± 6.5% and 71.8 ± 4.7%. Pretreatment of Kunming mice with phytochemical combinations revealed an obvious reduction in micronucleus and sperm abnormality rates following exposure to MTX (p < 0.01). Moreover, significant increases in thymus and spleen indices were observed in cytoprotector candidates in treated groups. The results indicated that bioactive phytochemicals combinations had the potential to be used as new cytoprotectors.

摘要

作为一种广为人知的抗肿瘤药物,近年来甲氨蝶呤(MTX)的细胞遗传毒性受到了更多关注。为开发一种新的细胞保护剂以降低甲氨蝶呤所致继发性癌症的风险,采用了umu试验结合微核试验来评估十种生物活性植物化学物质及其组合的细胞保护作用。结果表明,大蒜素、原花青素、多酚、刺五加苷和异黄酮比其他植物化学物质具有更高的抗诱变活性。在测试的最高剂量下,甲氨蝶呤的遗传毒性被抑制了34.03%至67.12%。在所有生物活性植物化学物质组合中,葡萄籽原花青素与刺五加刺五加苷的组合以及绿茶多酚与刺五加苷的组合表现出更强的抗诱变作用;甲氨蝶呤诱导的遗传毒性抑制率分别达到74.7±6.5%和71.8±4.7%。用植物化学物质组合对昆明小鼠进行预处理后发现,暴露于甲氨蝶呤后微核率和精子畸形率明显降低(p<0.01)。此外,在治疗组中,细胞保护剂候选物的胸腺和脾脏指数显著增加。结果表明,生物活性植物化学物质组合有潜力用作新的细胞保护剂。

https://cdn.ncbi.nlm.nih.gov/pmc/blobs/2321/4867711/35a7c81e51fc/peerj-04-1983-g001.jpg

文献AI研究员

20分钟写一篇综述,助力文献阅读效率提升50倍。

立即体验

用中文搜PubMed

大模型驱动的PubMed中文搜索引擎

马上搜索

文档翻译

学术文献翻译模型,支持多种主流文档格式。

立即体验