Suppr超能文献

人类和非人灵长类动物抗原呈递细胞的黄热病毒感染特征及其与CD4+T细胞的相互作用

Characterization of Yellow Fever Virus Infection of Human and Non-human Primate Antigen Presenting Cells and Their Interaction with CD4+ T Cells.

作者信息

Cong Yu, McArthur Monica A, Cohen Melanie, Jahrling Peter B, Janosko Krisztina B, Josleyn Nicole, Kang Kai, Zhang Tengfei, Holbrook Michael R

机构信息

National Institute of Allergy and Infectious Diseases (NIAID) Integrated Research Facility, Ft. Detrick, Frederick, Maryland, United States of America.

Department of Pediatrics and Center for Vaccine Development, University of Maryland, Baltimore, Maryland, United States of America.

出版信息

PLoS Negl Trop Dis. 2016 May 18;10(5):e0004709. doi: 10.1371/journal.pntd.0004709. eCollection 2016 May.

Abstract

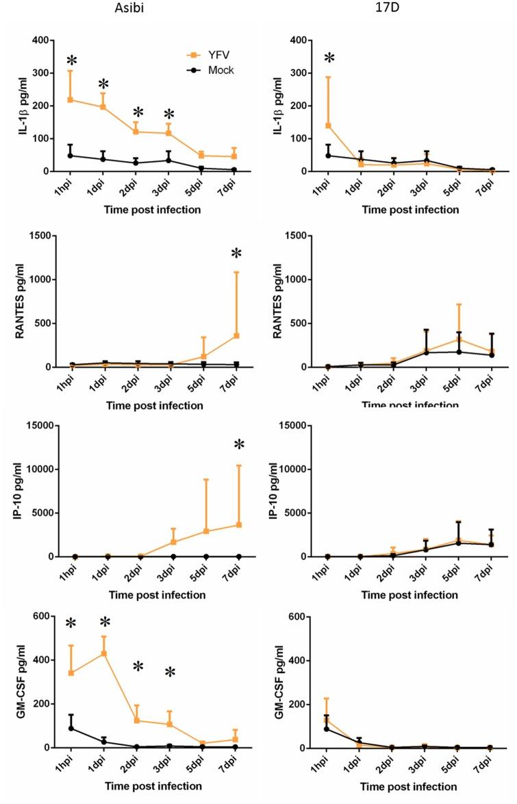
Humans infected with yellow fever virus (YFV), a mosquito-borne flavivirus, can develop illness ranging from a mild febrile disease to hemorrhagic fever and death. The 17D vaccine strain of YFV was developed in the 1930s, has been used continuously since development and has proven very effective. Genetic differences between vaccine and wild-type viruses are few, yet viral or host mechanisms associated with protection or disease are not fully understood. Over the past 20 years, a number of cases of vaccine-associated disease have been identified following vaccination with 17D; these cases have been correlated with reduced immune status at the time of vaccination. Recently, several studies have evaluated T cell responses to vaccination in both humans and non-human primates, but none have evaluated the response to wild-type virus infection. In the studies described here, monocyte-derived macrophages (MDM) and dendritic cells (MoDC) from both humans and rhesus macaques were evaluated for their ability to support infection with either wild-type Asibi virus or the 17D vaccine strain and the host cytokine and chemokine response characterized. Human MoDC and MDM were also evaluated for their ability to stimulate CD4+ T cells. It was found that MoDC and MDM supported viral replication and that there were differential cytokine responses to infection with either wild-type or vaccine viruses. Additionally, MoDCs infected with live 17D virus were able to stimulate IFN-γ and IL-2 production in CD4+ T cells, while cells infected with Asibi virus were not. These data demonstrate that wild-type and vaccine YFV stimulate different responses in target antigen presenting cells and that wild-type YFV can inhibit MoDC activation of CD4+ T cells, a critical component in development of protective immunity. These data provide initial, but critical insight into regulatory capabilities of wild-type YFV in development of disease.

摘要

感染黄热病病毒(YFV,一种蚊媒传播的黄病毒)的人类可能会出现从轻度发热疾病到出血热甚至死亡的病症。YFV的17D疫苗株于20世纪30年代研发出来,自研发后一直持续使用,且已证明非常有效。疫苗病毒和野生型病毒之间的基因差异很少,但与保护或疾病相关的病毒或宿主机制尚未完全了解。在过去20年里,接种17D疫苗后出现了多例与疫苗相关的疾病病例;这些病例与接种时免疫状态降低有关。最近,多项研究评估了人类和非人灵长类动物接种疫苗后的T细胞反应,但没有一项研究评估对野生型病毒感染的反应。在此所述的研究中,评估了人类和恒河猴的单核细胞衍生巨噬细胞(MDM)和树突状细胞(MoDC)支持野生型阿西比病毒或17D疫苗株感染的能力,并对宿主细胞因子和趋化因子反应进行了特征分析。还评估了人类MoDC和MDM刺激CD4+T细胞的能力。结果发现,MoDC和MDM支持病毒复制,并且对野生型或疫苗病毒感染的细胞因子反应存在差异。此外,感染活17D病毒的MoDC能够刺激CD4+T细胞产生IFN-γ和IL-2,而感染阿西比病毒的细胞则不能。这些数据表明,野生型和疫苗YFV在靶抗原呈递细胞中刺激不同反应,并且野生型YFV可抑制MoDC对CD4+T细胞的激活,而CD4+T细胞激活是保护性免疫发展的关键组成部分。这些数据为野生型YFV在疾病发展中的调节能力提供了初步但关键的见解。

https://cdn.ncbi.nlm.nih.gov/pmc/blobs/e0a4/4871483/5464831fbc70/pntd.0004709.g001.jpg

文献AI研究员

20分钟写一篇综述,助力文献阅读效率提升50倍。

立即体验

用中文搜PubMed

大模型驱动的PubMed中文搜索引擎

马上搜索

文档翻译

学术文献翻译模型,支持多种主流文档格式。

立即体验