Suppr超能文献

性活跃的外国医学生与中国医学生在对艾滋病毒/艾滋病和性传播感染的知识、态度及行为方面的差异

Differences in Knowledge, Attitude, and Behavior towards HIV/AIDS and Sexually Transmitted Infections between Sexually Active Foreign and Chinese Medical Students.

作者信息

Kuete Martin, Huang Qiao, Rashid Abid, Ma Xiu Lan, Yuan HongFang, Escalera Antezana Juan Pablo, Yeltay Rakhmanov, Rao Meng, He Qian, Xiong ChengLiang, Zhang HuiPing

机构信息

Family Planning and Research Institute, Tongji Medical College, Huazhong University of Science and Technology, Wuhan, Hubei 430030, China; Faculty of Medicine and Biomedical Sciences, The University of Yaoundé I, P.O. Box 3011, Messa, Yaoundé, Cameroon.

School of Nursing, Tongji Medical College, Huazhong University of Science and Technology, Wuhan, Hubei 430030, China.

出版信息

Biomed Res Int. 2016;2016:4524862. doi: 10.1155/2016/4524862. Epub 2016 Apr 19.

Abstract

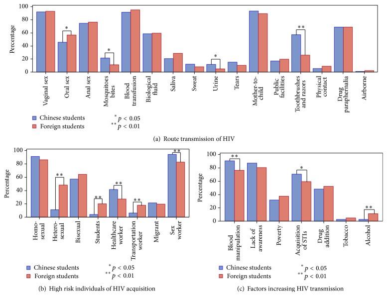
Although the prevalence of human immunodeficiency virus (HIV) decreased in the last decade worldwide, the number of deaths due to HIV/AIDS and communicable diseases including syphilis, hepatitis, and tuberculosis had dramatically increased in developing countries. Education and behavior are incredibly important factors to prevent these diseases' spread. This study highlights the range of differences in knowledge, attitude, and behavior of 434 sexually active medical students towards HIV/AIDS and sexually transmitted infections (STIs). Because the surveyed population constitutes the forefront of healthcare providers and was originated from different area of the world, this is the first time a study sought to investigate the behavioral attitude of this group of population irrespective of the three levels of their academic and professional knowledge. Several factors including sociodemographic characteristics, sexual behavior, HIV/AIDS, and STIs related patterns play a key role in medical student attitude and behavior towards people infected with HIV/AIDS and STIs. Our findings add consistent value in prior studies which aimed to stop new infections and also imply further investigations on the management of the studied infections by medical students. The present study arouses much interest among participants and provides evidence of reinforcing medical students' education on HIV/AIDS and STIs.

摘要

尽管在过去十年中全球人类免疫缺陷病毒(HIV)的流行率有所下降,但在发展中国家,因HIV/艾滋病以及包括梅毒、肝炎和结核病在内的传染病导致的死亡人数却大幅增加。教育和行为是预防这些疾病传播的极其重要的因素。本研究突出了434名性活跃医学生在HIV/艾滋病和性传播感染(STIs)方面知识、态度和行为的差异范围。由于被调查人群构成了医疗保健提供者的前沿,且来自世界不同地区,这是首次有研究试图调查这一人群的行为态度,而不考虑其学术和专业知识的三个水平。包括社会人口统计学特征、性行为、HIV/艾滋病以及性传播感染相关模式等多个因素,在医学生对感染HIV/艾滋病和性传播感染的人群的态度和行为中起着关键作用。我们的研究结果为之前旨在阻止新感染的研究增添了持续价值,也意味着对医学生对所研究感染的管理进行进一步调查。本研究引起了参与者的极大兴趣,并为加强医学生关于HIV/艾滋病和性传播感染的教育提供了证据。

https://cdn.ncbi.nlm.nih.gov/pmc/blobs/a237/4853927/386f9642e969/BMRI2016-4524862.001.jpg

文献AI研究员

20分钟写一篇综述,助力文献阅读效率提升50倍。

立即体验

用中文搜PubMed

大模型驱动的PubMed中文搜索引擎

马上搜索

文档翻译

学术文献翻译模型,支持多种主流文档格式。

立即体验