Suppr超能文献

伊朗泌尿生殖道支原体的患病率及其对生育潜力的影响:一项系统评价和荟萃分析。

Prevalence of Urogenital Mycoplasmas in Iran and Their Effects on Fertility Potential: A Systematic Review and Meta-Analysis.

作者信息

Ahmadi Mohammad Hossein, Mirsalehian Akbar, Bahador Abbas

机构信息

Dept. of Microbiology, School of Medicine, Tehran University of Medical Sciences, Tehran, Iran.

出版信息

Iran J Public Health. 2016 Apr;45(4):409-22.

Abstract

BACKGROUND

Urogenital mycoplasmas are potentially pathogenic species causing genitourinary tract infections that may be initially asymptomatic but can progress and lead to severe complications and threaten reproductive health. However, the overall prevalence rate of this bacterium and its probable impacts on fertility potential have yet to be determined.

METHODS

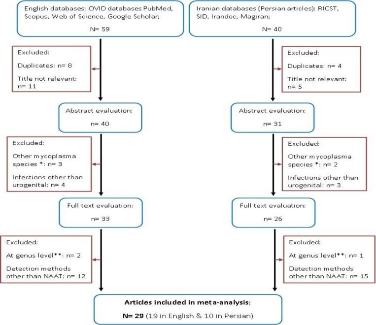
We searched both English and Persian electronic databases using key words such as "Mycoplasma," "Ureaplasma," "M. hominis," "M. genitalium," "U. urealyticum," "U. parvum," "prevalence," and "Iran". Finally, after some exclusion, 29 studies from different regions of Iran were included in our study, and a meta-analysis was performed on collected data.

RESULTS

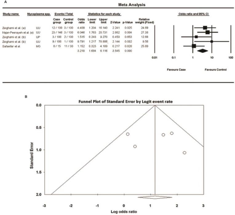
Urogenital mycoplasmas prevalence for women and men was high and ranged from 2%-40.5% and 2%-44.3%, respectively. The pooled prevalence in the male population was 11.1% (95% CI, 7.4%-16.4%) and in female was 12.8% (95% CI, 9.8%-16.5%). The prevalence of these bacteria was significantly higher in infertile men compared with that in fertile men. A high level of heterogeneity was observed for both men (I(2) = 92.4%; P<0.001) and women (I(2) = 93.3%; P<0.001). Some evidence for publication bias was observed in both men [Egger's test (two-tailed P=0.0007), and Begg's test (two-tailed P=0.0151)] and women [Egger's test (two-tailed P=0.0006), and Begg's test (two-tailed P=0.0086)] analysis.

CONCLUSION

Since urogenital mycoplasmas may play a role in male infertility, screening strategies, particularly for asymptomatic individuals, and treatment of infected ones, which can reduce consequent complications, looks to be necessary.

摘要

背景

泌尿生殖道支原体是可能致病的物种,可引起泌尿生殖道感染,这些感染最初可能无症状,但会进展并导致严重并发症,威胁生殖健康。然而,这种细菌的总体患病率及其对生育潜力的可能影响尚未确定。

方法

我们使用“支原体”“脲原体”“人型支原体”“生殖支原体”“解脲脲原体”“微小脲原体”“患病率”和“伊朗”等关键词在英文和波斯文电子数据库中进行搜索。最后,经过一些排除后,我们纳入了来自伊朗不同地区的29项研究,并对收集的数据进行了荟萃分析。

结果

泌尿生殖道支原体在女性和男性中的患病率都很高,分别为2% - 40.5%和2% - 44.3%。男性人群的合并患病率为11.1%(95%可信区间,7.4% - 16.4%),女性为12.8%(95%可信区间,9.8% - 16.5%)。与有生育能力的男性相比,不育男性中这些细菌的患病率显著更高。在男性(I² = 92.4%;P < 0.001)和女性(I² = 93.3%;P < 0.001)中均观察到高度异质性。在男性[Egger检验(双侧P = 0.0007)和Begg检验(双侧P = 0.0151)]和女性[Egger检验(双侧P = 0.0006)和Begg检验(双侧P = 0.0086)]分析中均观察到一些发表偏倚的证据。

结论

由于泌尿生殖道支原体可能在男性不育中起作用,因此筛查策略,特别是针对无症状个体的筛查策略,以及对感染者的治疗,这可以减少随之而来的并发症,似乎是必要的。

https://cdn.ncbi.nlm.nih.gov/pmc/blobs/cd79/4888168/49ab7679134a/IJPH-45-409-g001.jpg

文献AI研究员

20分钟写一篇综述,助力文献阅读效率提升50倍。

立即体验

用中文搜PubMed

大模型驱动的PubMed中文搜索引擎

马上搜索

文档翻译

学术文献翻译模型,支持多种主流文档格式。

立即体验