Hofmann Matthias, Pflanzer Ralph, Habib Anowarul, Shelke Amit, Bereiter-Hahn Jürgen, Bernd August, Kaufmann Roland, Sader Robert, Kippenberger Stefan
Department of Dermatology, Venereology and Allergology, Goethe University Frankfurt, 60590, Frankfurt am Main, Germany.
Department of Dermatology, Venereology and Allergology, Goethe University Frankfurt, 60590, Frankfurt am Main, Germany.
Transl Oncol. 2016 Jun;9(3):179-83. doi: 10.1016/j.tranon.2016.03.009. Epub 2016 Apr 22.
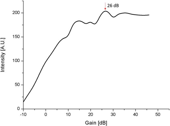
Elevated tumor interstitial fluid pressure (TIFP) is a prominent feature of solid tumors and hampers the transmigration of therapeutic macromolecules, for example, large monoclonal antibodies, from tumor-supplying vessels into the tumor interstitium. TIFP values of up to 40 mm Hg have been measured in experimental solid tumors using two conventional invasive techniques: the wick-in-needle and the micropuncture technique. We propose a novel noninvasive method of determining TIFP via ultrasonic investigation with scanning acoustic microscopy at 30-MHz frequency. In our experimental setup, we observed for the impedance fluctuations in the outer tumor hull of A431-vulva carcinoma-derived tumor xenograft mice. The gain dependence of signal strength was quantified, and the relaxation of tissue was calibrated with simultaneous hydrostatic pressure measurements. Signal patterns from the acoustical images were translated into TIFP curves, and a putative saturation effect was found for tumor pressures larger than 3 mm Hg. This is the first noninvasive approach to determine TIFP values in tumors. This technique can provide a potentially promising noninvasive assessment of TIFP and, therefore, can be used to determine the TIFP before treatment approach as well to measure therapeutic efficacy highlighted by lowered TFP values.
肿瘤间质液压力(TIFP)升高是实体瘤的一个显著特征,它会阻碍治疗性大分子(如大型单克隆抗体)从肿瘤供血血管向肿瘤间质的迁移。使用两种传统的侵入性技术——针芯法和微穿刺技术,在实验性实体瘤中测得的TIFP值高达40毫米汞柱。我们提出了一种通过30兆赫兹频率的扫描声学显微镜超声检查来测定TIFP的新型非侵入性方法。在我们的实验装置中,我们观察了源自A431外阴癌的肿瘤异种移植小鼠肿瘤外壳的阻抗波动。对信号强度的增益依赖性进行了量化,并通过同步静水压力测量对组织弛豫进行了校准。将声学图像中的信号模式转换为TIFP曲线,发现肿瘤压力大于3毫米汞柱时存在一种假定的饱和效应。这是第一种测定肿瘤中TIFP值的非侵入性方法。该技术可以提供一种潜在的、有前景的TIFP非侵入性评估方法,因此,可用于在治疗前测定TIFP值,也可用于测量因TFP值降低而突出显示的治疗效果。