Suppr超能文献

水稻中用于叶绿素含量仪测量的最佳叶片位置

Optimal Leaf Positions for SPAD Meter Measurement in Rice.

作者信息

Yuan Zhaofeng, Cao Qiang, Zhang Ke, Ata-Ul-Karim Syed Tahir, Tian Yongchao, Zhu Yan, Cao Weixing, Liu Xiaojun

机构信息

National Engineering and Technology Center for Information Agriculture, Jiangsu Key Laboratory for Information Agriculture, Jiangsu Collaborative Innovation Center for Modern Crop Production, Nanjing Agricultural University Nanjing, China.

出版信息

Front Plant Sci. 2016 May 26;7:719. doi: 10.3389/fpls.2016.00719. eCollection 2016.

Abstract

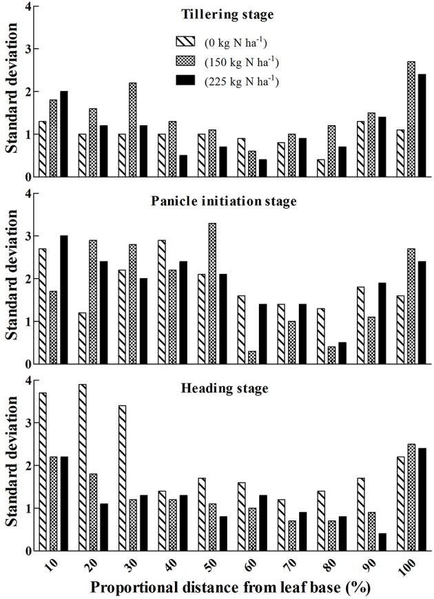
The Soil Plant Analysis Development (SPAD) chlorophyll meter is one of the most commonly used diagnostic tools to measure crop nitrogen status. However, the measurement method of the meter could significantly affect the accuracy of the final estimation. Thus, this research was undertaken to develop a new methodology to optimize SPAD meter measurements in rice (Oryza sativa L.). A flatbed color scanner was used to map the dynamic chlorophyll distribution and irregular leaf shapes. Calculus algorithm was adopted to estimate the potential positions for SPAD meter measurement along the leaf blade. Data generated by the flatbed color scanner and SPAD meter were analyzed simultaneously. The results suggested that a position 2/3 of the distance from the leaf base to the apex (2/3 position) could represent the chlorophyll content of the entire leaf blade, as indicated by the relatively low variance of measurements at that position. SPAD values based on di-positional leaves and the extracted chlorophyll a and b contents were compared. This comparison showed that the 2/3 position on the lower leaves tended to be more sensitive to changes in chlorophyll content. Finally, the 2/3 position and average SPAD values of the fourth fully expanded leaf from the top were compared with leaf nitrogen concentration. The results showed the 2/3 position on that leaf was most suitable for predicting the nitrogen status of rice. Based on these results, we recommend making SPAD measurements at the 2/3 position on the fourth fully expanded leaf from the top. The coupling of dynamic chlorophyll distribution and irregular leaf shapes information can provide a promising approach for the calibration of SPAD meter measurement, which can further benefit the in situ nitrogen management by providing reliable estimation of crops nitrogen nutrition status.

摘要

土壤植物分析发展(SPAD)叶绿素仪是测量作物氮素状况最常用的诊断工具之一。然而,该仪器的测量方法可能会显著影响最终估算的准确性。因此,本研究旨在开发一种新方法,以优化水稻(Oryza sativa L.)中SPAD叶绿素仪的测量。使用平板彩色扫描仪绘制动态叶绿素分布和不规则叶片形状。采用微积分算法估计沿叶片的SPAD叶绿素仪测量的潜在位置。同时分析平板彩色扫描仪和SPAD叶绿素仪生成的数据。结果表明,从叶基部到叶尖距离的2/3位置(2/3位置)可以代表整个叶片的叶绿素含量,该位置测量的方差相对较低。比较了基于双位置叶片的SPAD值与提取的叶绿素a和b含量。这种比较表明,下部叶片的2/3位置往往对叶绿素含量变化更敏感。最后,将顶部第四片完全展开叶的2/3位置和平均SPAD值与叶片氮浓度进行比较。结果表明,该叶片的2/3位置最适合预测水稻的氮素状况。基于这些结果,我们建议在顶部第四片完全展开叶的2/3位置进行SPAD测量。动态叶绿素分布和不规则叶片形状信息的耦合可以为SPAD叶绿素仪测量的校准提供一种有前景的方法,通过提供作物氮素营养状况的可靠估计,这可以进一步有利于原位氮管理。

https://cdn.ncbi.nlm.nih.gov/pmc/blobs/62ef/4880590/54099367095d/fpls-07-00719-g0001.jpg

文献AI研究员

20分钟写一篇综述,助力文献阅读效率提升50倍。

立即体验

用中文搜PubMed

大模型驱动的PubMed中文搜索引擎

马上搜索

文档翻译

学术文献翻译模型,支持多种主流文档格式。

立即体验