Xu Yin, Xiao Jinbiao
National Research Center for Optical Sensing/Communications Integrated Networking, School of Electronic Science and Engineering, Southeast University, Nanjing 210096, China.
Sci Rep. 2016 Jun 16;6:27949. doi: 10.1038/srep27949.
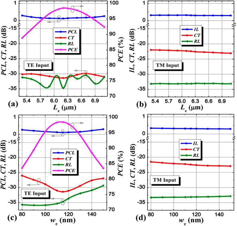
On-chip polarization manipulation is pivotal for silicon-on-insulator material platform to realize polarization-transparent circuits and polarization-division-multiplexing transmissions, where polarization splitters and rotators are fundamental components. In this work, we propose an ultracompact and high efficient silicon-based polarization splitter-rotator (PSR) using a partially-etched subwavelength grating (SWG) coupler. The proposed PSR consists of a taper-integrated SWG coupler combined with a partially-etched waveguide between the input and output strip waveguides to make the input transverse-electric (TE) mode couple and convert to the output transverse-magnetic (TM) mode at the cross port while the input TM mode confine well in the strip waveguide during propagation and directly output from the bar port with nearly neglected coupling. Moreover, to better separate input polarizations, an additional tapered waveguide extended from the partially-etched waveguide is also added. From results, an ultracompact PSR of only 8.2 μm in length is achieved, which is so far the reported shortest one. The polarization conversion loss and efficiency are 0.12 dB and 98.52%, respectively, together with the crosstalk and reflection loss of -31.41/-22.43 dB and -34.74/-33.13 dB for input TE/TM mode at wavelength of 1.55 μm. These attributes make the present device suitable for constructing on-chip compact photonic integrated circuits with polarization-independence.
对于绝缘体上硅材料平台而言,片上偏振操纵对于实现偏振透明电路和偏振分复用传输至关重要,其中偏振分束器和旋转器是基本组件。在这项工作中,我们提出了一种使用部分蚀刻的亚波长光栅(SWG)耦合器的超紧凑且高效的硅基偏振分束器 - 旋转器(PSR)。所提出的PSR由一个锥形集成SWG耦合器与输入和输出条形波导之间的部分蚀刻波导组合而成,以使输入横向电(TE)模式在交叉端口处耦合并转换为输出横向磁(TM)模式,而输入TM模式在传播过程中很好地限制在条形波导中,并几乎无耦合地直接从条形端口输出。此外,为了更好地分离输入偏振,还添加了一个从部分蚀刻波导延伸出的额外锥形波导。结果表明,实现了长度仅为8.2μm的超紧凑PSR,这是迄今为止报道的最短的一个。在1.55μm波长下,对于输入TE/TM模式,偏振转换损耗和效率分别为0.12dB和98.52%,串扰和反射损耗分别为-31.41/-22.43dB和-34.74/-33.13dB。这些特性使得本器件适用于构建具有偏振无关性的片上紧凑型光子集成电路。