Suppr超能文献

肿瘤的衰变动力学

Decay Dynamics of Tumors.

作者信息

López Álvaro G, Seoane Jesús M, Sanjuán Miguel A F

机构信息

Nonlinear Dynamics, Chaos and Complex Systems Group. Departamento de Física, Universidad Rey Juan Carlos, Tulipán s/n, 28933 Móstoles, Madrid, Spain.

出版信息

PLoS One. 2016 Jun 16;11(6):e0157689. doi: 10.1371/journal.pone.0157689. eCollection 2016.

Abstract

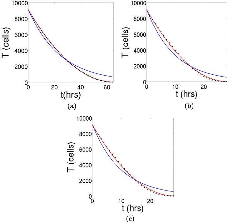
The fractional cell kill is a mathematical expression describing the rate at which a certain population of cells is reduced to a fraction of itself. We investigate the mathematical function that governs the rate at which a solid tumor is lysed by a cell population of cytotoxic lymphocytes. We do it in the context of enzyme kinetics, using geometrical and analytical arguments. We derive the equations governing the decay of a tumor in the limit in which it is plainly surrounded by immune cells. A cellular automaton is used to test such decay, confirming its validity. Finally, we introduce a modification in the fractional cell kill so that the expected dynamics is attained in the mentioned limit. We also discuss the potential of this new function for non-solid and solid tumors which are infiltrated with lymphocytes.

摘要

细胞杀灭分数是一个数学表达式,用于描述特定细胞群体减少到自身某一分数的速率。我们研究控制实体瘤被细胞毒性淋巴细胞群体裂解速率的数学函数。我们在酶动力学的背景下,运用几何和分析论证来进行研究。我们推导出在肿瘤明显被免疫细胞包围的极限情况下控制肿瘤衰变的方程。使用细胞自动机来测试这种衰变,证实其有效性。最后,我们对细胞杀灭分数进行修改,以便在上述极限情况下实现预期的动力学。我们还讨论了这种新函数对被淋巴细胞浸润的非实体瘤和实体瘤的潜在作用。

https://cdn.ncbi.nlm.nih.gov/pmc/blobs/7e19/4910984/76e3f0acfda1/pone.0157689.g001.jpg

文献AI研究员

20分钟写一篇综述,助力文献阅读效率提升50倍。

立即体验

用中文搜PubMed

大模型驱动的PubMed中文搜索引擎

马上搜索

文档翻译

学术文献翻译模型,支持多种主流文档格式。

立即体验