Godwin Laboratory for Palaeoclimate Research, Department of Earth Sciences, University of Cambridge, Cambridge CB2 3EQ, UK.
LSCE/IPSL, Laboratoire CNRS-CEA-UVSQ, Domaine du CNRS, bât 12 91198 Gif-sur-Yvette, France.
Nat Commun. 2016 Jun 27;7:11998. doi: 10.1038/ncomms11998.
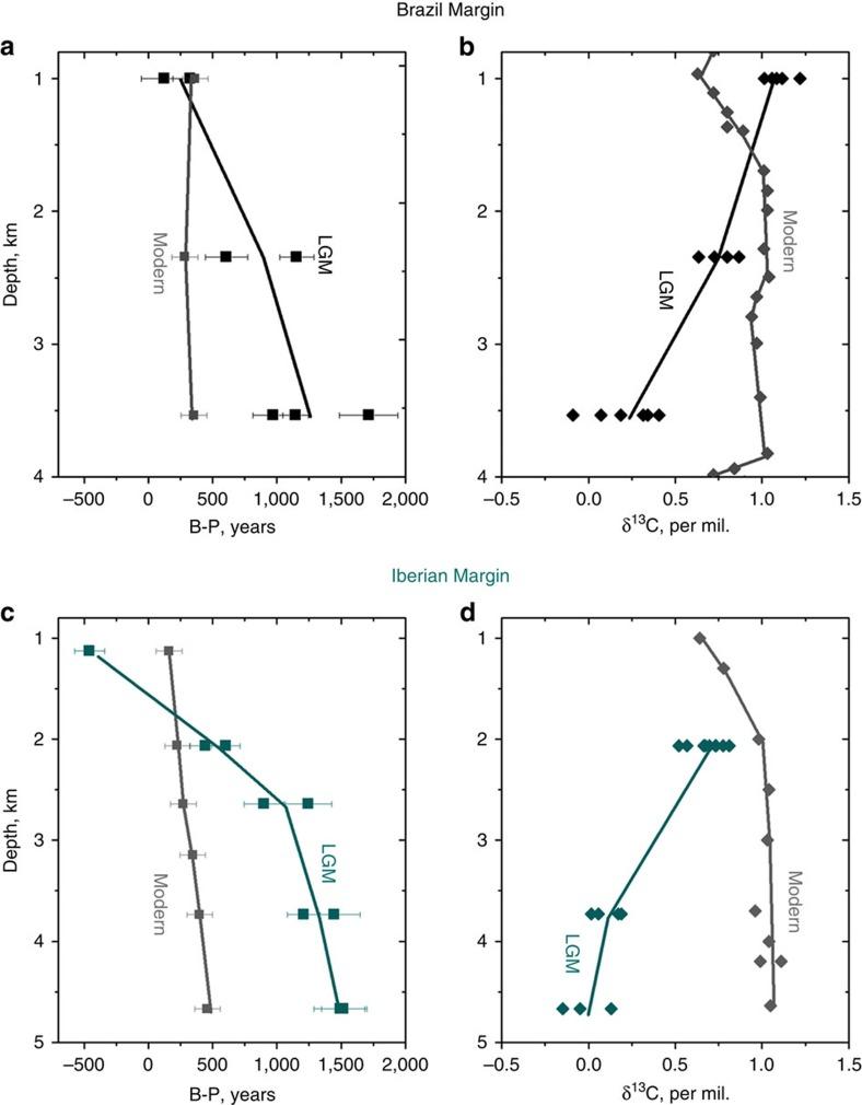
The influence of ocean circulation changes on atmospheric CO2 hinges primarily on the ability to alter the ocean interior's respired nutrient inventory. Here we investigate the Atlantic overturning circulation at the Last Glacial Maximum and its impact on respired carbon storage using radiocarbon and stable carbon isotope data from the Brazil and Iberian Margins. The data demonstrate the existence of a shallow well-ventilated northern-sourced cell overlying a poorly ventilated, predominantly southern-sourced cell at the Last Glacial Maximum. We also find that organic carbon remineralization rates in the deep Atlantic remained broadly similar to modern, but that ventilation ages in the southern-sourced overturning cell were significantly increased. Respired carbon storage in the deep Atlantic was therefore enhanced during the last glacial period, primarily due to an increase in the residence time of carbon in the deep ocean, rather than an increase in biological carbon export.
海洋环流变化对大气 CO2 的影响主要取决于改变海洋内部呼吸营养物质库存的能力。在这里,我们利用来自巴西和伊比利亚边缘的放射性碳和稳定碳同位素数据,研究了末次冰盛期的大西洋翻转环流及其对呼吸碳储存的影响。数据表明,在末次冰盛期,存在一个浅层通风良好的北部源细胞,覆盖一个通风不良的主要是南部源细胞。我们还发现,大西洋深层的有机碳再矿化率与现代大致相似,但南部源翻转细胞的通风年龄显著增加。因此,末次冰期期间,大西洋深层的呼吸碳储存增加,主要是由于深海中碳的停留时间增加,而不是生物碳输出的增加。