Suppr超能文献

[11C]胆碱正电子发射断层显像/计算机断层扫描在局部晚期高危前列腺癌根治性前列腺切除术前行新辅助治疗疗效评估中的应用

[11C]Choline PET/CT in therapy response assessment of a neoadjuvant therapy in locally advanced and high risk prostate cancer before radical prostatectomy.

作者信息

Schwarzenböck Sarah M, Knieling Anna, Souvatzoglou Michael, Kurth Jens, Steiger Katja, Eiber Matthias, Esposito Irene, Retz Margitta, Kübler Hubert, Gschwend Jürgen E, Schwaiger Markus, Krause Bernd J, Thalgott Mark

机构信息

Department of Nuclear Medicine, Klinikum rechts der Isar, Technische Universität München, 81675 Munich, Germany.

Department of Nuclear Medicine, Rostock University Medical Centre, 18057 Rostock, Germany.

出版信息

Oncotarget. 2016 Sep 27;7(39):63747-63757. doi: 10.18632/oncotarget.11653.

Abstract

PURPOSE

Recent studies have shown promising results of neoadjuvant therapy in prostate cancer (PC). The aim of this study was to evaluate the potential of [11C]Choline PET/CT in therapy response monitoring after combined neoadjuvant docetaxel chemotherapy and complete androgen blockade in locally advanced and high risk PC patients.

RESULTS

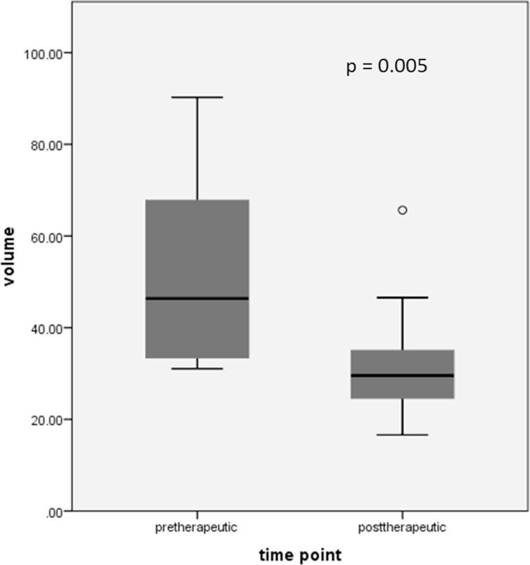
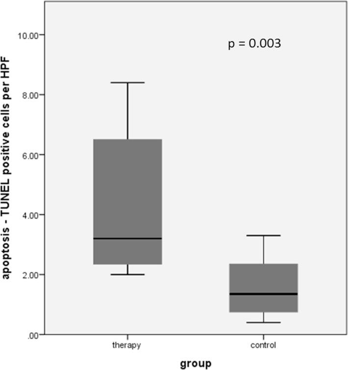
In [11C]Choline PET/CT there was a significant decrease of SUVmax and SUVmean (p = 0.004, each), prostate volume (p = 0.005) and PSA value (p = 0.003) after combined neoadjuvant therapy. MRI showed a significant prostate and tumor volume reduction (p = 0.003 and 0.005, respectively). Number of apoptotic cells was significantly higher in prostatectomy specimens of the therapy group compared to pretherapeutic biopsies and the control group (p = 0.02 and 0.003, respectively).

METHODS

11 patients received two [11C]Choline PET/CT and MRI scans before and after combined neoadjuvant therapy followed by radical prostatectomy and pelvic lymph node dissection. [11C]Choline uptake, prostate and tumor volume, PSA value (before/after neoadjuvant therapy) and apoptosis (of pretherapeutic biopsy/posttherapeutic prostatectomy specimens of the therapy group and prostatectomy specimens of a matched control group without neoadjuvant therapy) were assessed and tested for differences and correlation using SPSS.

CONCLUSIONS

The results showing a decrease in choline uptake after combined neoadjuvant therapy (paralleled by regressive and apoptotic changes in histopathology) confirm the potential of [11C]Choline PET/CT to monitor effects of neoadjuvant therapy in locally advanced and high risk PC patients. Further studies are recommended to evaluate its use during the course of neoadjuvant therapy for early response assessment.

摘要

目的

近期研究显示新辅助治疗在前列腺癌(PC)中取得了有前景的结果。本研究的目的是评估[11C]胆碱PET/CT在局部晚期和高危PC患者接受新辅助多西他赛化疗联合完全雄激素阻断治疗后监测治疗反应的潜力。

结果

在[11C]胆碱PET/CT检查中,新辅助联合治疗后SUVmax和SUVmean均显著降低(均为p = 0.004),前列腺体积(p = 0.005)和PSA值(p = 0.003)也显著降低。MRI显示前列腺和肿瘤体积显著减小(分别为p = 0.003和0.005)。与治疗前活检及对照组相比,治疗组前列腺切除标本中的凋亡细胞数量显著更高(分别为p = 0.02和0.003)。

方法

11例患者在新辅助联合治疗前后接受了两次[11C]胆碱PET/CT和MRI扫描,随后进行了根治性前列腺切除术和盆腔淋巴结清扫术。评估了[11C]胆碱摄取、前列腺和肿瘤体积、PSA值(新辅助治疗前后)以及凋亡情况(治疗组治疗前活检/治疗后前列腺切除标本以及未接受新辅助治疗的匹配对照组的前列腺切除标本),并使用SPSS对差异和相关性进行了检测。

结论

结果显示新辅助联合治疗后胆碱摄取减少(组织病理学上伴有退行性和凋亡性改变),证实了[11C]胆碱PET/CT在监测局部晚期和高危PC患者新辅助治疗效果方面的潜力。建议进一步研究以评估其在新辅助治疗过程中用于早期反应评估的用途。

https://cdn.ncbi.nlm.nih.gov/pmc/blobs/3b81/5325400/72aeb9921632/oncotarget-07-63747-g001.jpg

文献AI研究员

20分钟写一篇综述,助力文献阅读效率提升50倍。

立即体验

用中文搜PubMed

大模型驱动的PubMed中文搜索引擎

马上搜索

文档翻译

学术文献翻译模型,支持多种主流文档格式。

立即体验