Suppr超能文献

交联肥大细胞特异性神经节苷脂可刺激新形成的脂质介质和新合成的细胞因子的释放。

Cross-Linking Mast Cell Specific Gangliosides Stimulates the Release of Newly Formed Lipid Mediators and Newly Synthesized Cytokines.

作者信息

Filho Edismauro Garcia Freitas, da Silva Elaine Zayas Marcelino, Zanotto Camila Ziliotto, Oliver Constance, Jamur Maria Célia

机构信息

Department of Cell and Molecular Biology and Pathogenic Bioagents, Ribeirão Preto Medical School, University of São Paulo, Avenida Bandeirantes 3900, 14049-900 Ribeirão Preto, SP, Brazil.

Department of Pharmacology, Ribeirão Preto Medical School, University of São Paulo, Avenida Bandeirantes 3900, 14049-900 Ribeirão Preto, SP, Brazil.

出版信息

Mediators Inflamm. 2016;2016:9160540. doi: 10.1155/2016/9160540. Epub 2016 Aug 8.

Abstract

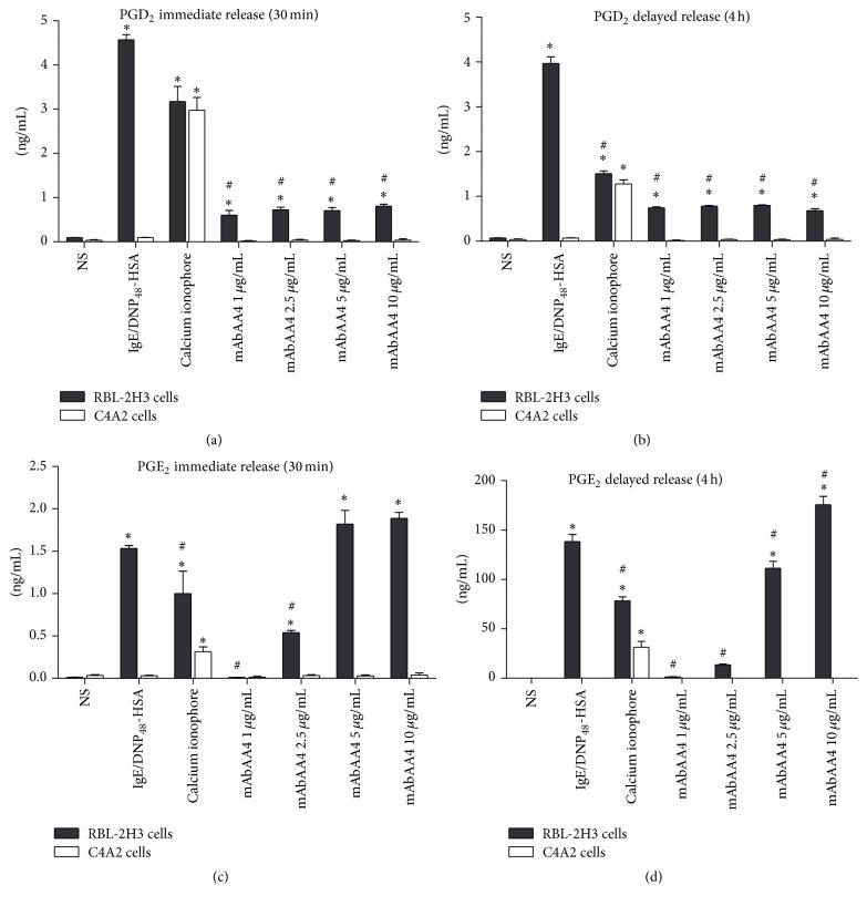
Mast cells are immunoregulatory cells that participate in inflammatory processes. Cross-linking mast cell specific GD1b derived gangliosides by mAbAA4 results in partial activation of mast cells without the release of preformed mediators. The present study examines the release of newly formed and newly synthesized mediators following ganglioside cross-linking. Cross-linking the gangliosides with mAbAA4 released the newly formed lipid mediators, prostaglandins D2 and E2, without release of leukotrienes B4 and C4. The effect of cross-linking these gangliosides on the activation of enzymes in the arachidonate cascade was then investigated. Ganglioside cross-linking resulted in phosphorylation of cytosolic phospholipase A2 and increased expression of cyclooxygenase-2. Translocation of 5-lipoxygenase from the cytosol to the nucleus was not induced by ganglioside cross-linking. Cross-linking of GD1b derived gangliosides also resulted in the release of the newly synthesized mediators, interleukin-4, interleukin-6, and TNF-α. The effect of cross-linking the gangliosides on the MAP kinase pathway was then investigated. Cross-linking the gangliosides induced the phosphorylation of ERK1/2, JNK1/2, and p38 as well as activating both NFκB and NFAT in a Syk-dependent manner. Therefore, cross-linking the mast cell specific GD1b derived gangliosides results in the activation of signaling pathways that culminate with the release of newly formed and newly synthesized mediators.

摘要

肥大细胞是参与炎症过程的免疫调节细胞。单克隆抗体AA4使肥大细胞特异性GD1b衍生神经节苷脂交联,导致肥大细胞部分活化,而不释放预先形成的介质。本研究检测了神经节苷脂交联后新形成和新合成介质的释放情况。用单克隆抗体AA4使神经节苷脂交联,释放了新形成的脂质介质前列腺素D2和E2,但未释放白三烯B4和C4。然后研究了这些神经节苷脂交联对花生四烯酸级联反应中酶活化的影响。神经节苷脂交联导致胞质磷脂酶A2磷酸化,并增加环氧化酶-2的表达。神经节苷脂交联未诱导5-脂氧合酶从胞质溶胶转位至细胞核。GD1b衍生神经节苷脂的交联还导致新合成介质白细胞介素-4、白细胞介素-6和肿瘤坏死因子-α的释放。然后研究了神经节苷脂交联对丝裂原活化蛋白激酶(MAP)激酶途径的影响。神经节苷脂交联诱导细胞外信号调节激酶1/2(ERK1/2)、应激活化蛋白激酶1/2(JNK1/2)和p38磷酸化,并以一种依赖于脾酪氨酸激酶(Syk)的方式激活核因子κB(NFκB)和活化T细胞核因子(NFAT)。因此,肥大细胞特异性GD1b衍生神经节苷脂的交联导致信号通路活化,最终释放新形成和新合成的介质。

https://cdn.ncbi.nlm.nih.gov/pmc/blobs/15f6/4992799/95627b41928a/MI2016-9160540.001.jpg

文献AI研究员

20分钟写一篇综述,助力文献阅读效率提升50倍。

立即体验

用中文搜PubMed

大模型驱动的PubMed中文搜索引擎

马上搜索

文档翻译

学术文献翻译模型,支持多种主流文档格式。

立即体验