Suppr超能文献

神经氨酸酶抑制剂与英国甲型H1N1流感患者的医院死亡率:观察性数据的重新分析

Neuraminidase Inhibitors and Hospital Mortality in British Patients with H1N1 Influenza A: A Re-Analysis of Observational Data.

作者信息

Wolkewitz Martin, Schumacher Martin

机构信息

Center for Medical Biometry and Medical Informatics, Institute for Medical Biometry and Statistics, Medical Center University of Freiburg, Freiburg, Germany.

出版信息

PLoS One. 2016 Sep 1;11(9):e0160430. doi: 10.1371/journal.pone.0160430. eCollection 2016.

Abstract

BACKGROUND

Observational studies claimed reducing effects of neuraminidase inhibitors (NI) on hospital mortality in patients with H1N1 influenza A. It has been criticized that such findings are prone to common and serious survival biases.

METHODS

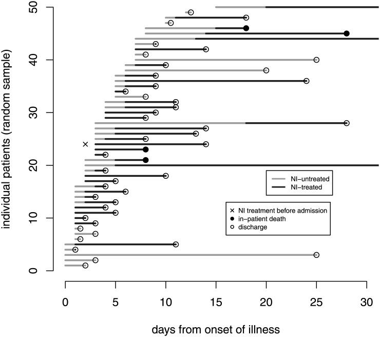
With observational data from the FLU-CIN study group, multi-state and dynamic prediction models have been used to avoid such biases. The data included 1391 patients with confirmed pandemic influenza A/H1N1 infection collected during 2009-2010 in the UK. Due to their close relationship, the main outcome measures were hospital death and length of hospital stay.

FINDINGS

There is no direct effect of NI on the hospital death rate; the hazard ratio (HR) of NI was 1.03 (95%-CI: 0.64-1.66). The discharge rate is increased for NI patients (HR = 1.89 (95%-CI: 1.65-2.16)) indicating that NI-treated patients stay shorter in hospital than NI-untreated patients, on average 3.10 days (95%-CI: 2.07-4.14). We also showed that the initiation timing of NI treatment (≤ 2 days versus > 2 days after onset) made no difference on the effects on the hospital death and discharge hazards. The hazard ratios remain stable after adjusting for potential confounders measured at admission (such as comorbidities and influenza-related clinical symptoms).

CONCLUSIONS

The potential beneficial effect of NI on hospitalized patients in the UK is rather a reduction of the length of hospital stay than a reduction of the mortality rate. There seems to be no confounding by indication and no differences if NI is given early or late. Different effects could be present in other populations (such as non-hospitalized individuals) or countries. Careful interpretation of the effect on length of hospital stay is needed due to potentially different discharge policies of NI-treated and NI-untreated patients.

摘要

背景

观察性研究称神经氨酸酶抑制剂(NI)对甲型H1N1流感患者的医院死亡率有降低作用。有人批评说,此类发现容易出现常见且严重的生存偏差。

方法

利用FLU-CIN研究组的观察性数据,采用多状态和动态预测模型来避免此类偏差。数据包括2009年至2010年期间在英国收集的1391例确诊的甲型H1N1大流行性流感感染患者。由于关系密切,主要结局指标为医院死亡和住院时间。

研究结果

NI对医院死亡率无直接影响;NI的风险比(HR)为1.03(95%置信区间:0.64 - 1.66)。NI治疗患者的出院率增加(HR = 1.89(95%置信区间:1.65 - 2.16)),表明接受NI治疗的患者住院时间比未接受NI治疗的患者短,平均短3.10天(95%置信区间:2.07 - 4.14)。我们还表明,NI治疗的起始时间(发病后≤2天与>2天)对医院死亡和出院风险的影响无差异。在调整入院时测量的潜在混杂因素(如合并症和流感相关临床症状)后,风险比保持稳定。

结论

在英国,NI对住院患者的潜在有益作用在于缩短住院时间而非降低死亡率。似乎不存在指征性混杂因素,且早期或晚期给予NI并无差异。在其他人群(如非住院个体)或国家可能存在不同影响。由于NI治疗和未治疗患者的出院政策可能不同,需要谨慎解读对住院时间的影响。

https://cdn.ncbi.nlm.nih.gov/pmc/blobs/da7e/5008789/7efaa0609469/pone.0160430.g001.jpg

文献AI研究员

20分钟写一篇综述,助力文献阅读效率提升50倍。

立即体验

用中文搜PubMed

大模型驱动的PubMed中文搜索引擎

马上搜索

文档翻译

学术文献翻译模型,支持多种主流文档格式。

立即体验