• 文献检索
  • 文档翻译
  • 深度研究
  • 学术资讯
  • Suppr Zotero 插件Zotero 插件
  • 邀请有礼
  • 套餐&价格
  • 历史记录
应用&插件
Suppr Zotero 插件Zotero 插件浏览器插件Mac 客户端Windows 客户端微信小程序
定价
高级版会员购买积分包购买API积分包
服务
文献检索文档翻译深度研究API 文档MCP 服务
关于我们
关于 Suppr公司介绍联系我们用户协议隐私条款
关注我们

Suppr 超能文献

核心技术专利:CN118964589B侵权必究
粤ICP备2023148730 号-1Suppr @ 2026

文献检索

告别复杂PubMed语法,用中文像聊天一样搜索,搜遍4000万医学文献。AI智能推荐,让科研检索更轻松。

立即免费搜索

文件翻译

保留排版,准确专业,支持PDF/Word/PPT等文件格式,支持 12+语言互译。

免费翻译文档

深度研究

AI帮你快速写综述,25分钟生成高质量综述,智能提取关键信息,辅助科研写作。

立即免费体验

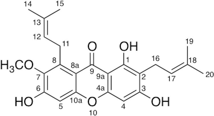
从天然山竹(莽吉柿,Garcinia mangostana L.)中提取α-倒捻子素以及α-倒捻子素与HSA或TRF的结合机制。

α-Mangostin Extraction from the Native Mangosteen (Garcinia mangostana L.) and the Binding Mechanisms of α-Mangostin to HSA or TRF.

作者信息

Guo Ming, Wang Xiaomeng, Lu Xiaowang, Wang Hongzheng, Brodelius Peter E

机构信息

School of Science, Zhejiang Agricultural & Forestry University, Lin'an 311300, China.

School of Forestry and Bio-technology, Zhejiang Agricultural & Forestry University, Lin'an 311300, China.

出版信息

PLoS One. 2016 Sep 1;11(9):e0161566. doi: 10.1371/journal.pone.0161566. eCollection 2016.

DOI:10.1371/journal.pone.0161566
PMID:27584012
原文链接:https://pmc.ncbi.nlm.nih.gov/articles/PMC5008840/
Abstract

In order to obtain the biological active compound, α-mangostin, from the traditional native mangosteen (Garcinia mangostana L.), an extraction method for industrial application was explored. A high yield of α-mangostin (5.2%) was obtained by extraction from dried mangosteen pericarps with subsequent purification on macroporous resin HPD-400. The chemical structure of α-mangostin was verified mass spectrometry (MS), nuclear magnetic resonance (1H NMR and 13C NMR), infrared spectroscopy (IR) and UV-Vis spectroscopy. The purity of the obtained α-mangostin was 95.6% as determined by HPLC analysis. The binding of native α-mangostin to human serum albumin (HSA) or transferrin (TRF) was explored by combining spectral experiments with molecular modeling. The results showed that α-mangostin binds to HSA or TRF as static complexes but the binding affinities were different in different systems. The binding constants and thermodynamic parameters were measured by fluorescence spectroscopy and absorbance spectra. The association constant of HSA or TRF binding to α-mangostin is 6.4832×105 L/mol and 1.4652×105 L/mol at 298 K and 7.8619×105 L/mol and 1.1582×105 L/mol at 310 K, respectively. The binding distance, the energy transfer efficiency between α-mangostin and HSA or TRF were also obtained by virtue of the Förster theory of non-radiation energy transfer. The effect of α-mangostin on the HSA or TRF conformation was analyzed by synchronous spectrometry and fluorescence polarization studies. Molecular docking results reveal that the main interaction between α-mangostin and HSA is hydrophobic interactions, while the main interaction between α-mangostin and TRF is hydrogen bonding and Van der Waals forces. These results are consistent with spectral results.

摘要

为了从传统的本地山竹(莽吉柿,Garcinia mangostana L.)中获取生物活性化合物α-倒捻子素,探索了一种适用于工业应用的提取方法。通过用大孔树脂HPD-400对干燥的山竹果皮进行提取和后续纯化,获得了高产率的α-倒捻子素(5.2%)。通过质谱(MS)、核磁共振(1H NMR和13C NMR)、红外光谱(IR)和紫外可见光谱对α-倒捻子素的化学结构进行了验证。通过高效液相色谱(HPLC)分析测定,所获得的α-倒捻子素的纯度为95.6%。通过光谱实验与分子模拟相结合的方法,研究了天然α-倒捻子素与人血清白蛋白(HSA)或转铁蛋白(TRF)的结合。结果表明,α-倒捻子素以静态复合物的形式与HSA或TRF结合,但在不同系统中的结合亲和力不同。通过荧光光谱和吸收光谱测量了结合常数和热力学参数。在298 K时,HSA或TRF与α-倒捻子素结合的缔合常数分别为6.4832×105 L/mol和1.4652×105 L/mol,在310 K时分别为7.8619×105 L/mol和1.1582×105 L/mol。借助Förster非辐射能量转移理论,还获得了α-倒捻子素与HSA或TRF之间的结合距离、能量转移效率。通过同步光谱和荧光偏振研究分析了α-倒捻子素对HSA或TRF构象的影响。分子对接结果表明,α-倒捻子素与HSA之间的主要相互作用是疏水相互作用,而α-倒捻子素与TRF之间的主要相互作用是氢键和范德华力。这些结果与光谱结果一致。

https://cdn.ncbi.nlm.nih.gov/pmc/blobs/f29b/5008840/4d850d8acd2d/pone.0161566.g009.jpg
https://cdn.ncbi.nlm.nih.gov/pmc/blobs/f29b/5008840/c24a60fb83ae/pone.0161566.g001.jpg
https://cdn.ncbi.nlm.nih.gov/pmc/blobs/f29b/5008840/169cefb20853/pone.0161566.g002.jpg
https://cdn.ncbi.nlm.nih.gov/pmc/blobs/f29b/5008840/196cd612adec/pone.0161566.g003.jpg
https://cdn.ncbi.nlm.nih.gov/pmc/blobs/f29b/5008840/c4918d5644a3/pone.0161566.g004.jpg
https://cdn.ncbi.nlm.nih.gov/pmc/blobs/f29b/5008840/8248209447fd/pone.0161566.g005.jpg
https://cdn.ncbi.nlm.nih.gov/pmc/blobs/f29b/5008840/7aa5339c1b7c/pone.0161566.g006.jpg
https://cdn.ncbi.nlm.nih.gov/pmc/blobs/f29b/5008840/ca1e5a3aba26/pone.0161566.g007.jpg
https://cdn.ncbi.nlm.nih.gov/pmc/blobs/f29b/5008840/bda2f0ba2da4/pone.0161566.g008.jpg
https://cdn.ncbi.nlm.nih.gov/pmc/blobs/f29b/5008840/4d850d8acd2d/pone.0161566.g009.jpg
https://cdn.ncbi.nlm.nih.gov/pmc/blobs/f29b/5008840/c24a60fb83ae/pone.0161566.g001.jpg
https://cdn.ncbi.nlm.nih.gov/pmc/blobs/f29b/5008840/169cefb20853/pone.0161566.g002.jpg
https://cdn.ncbi.nlm.nih.gov/pmc/blobs/f29b/5008840/196cd612adec/pone.0161566.g003.jpg
https://cdn.ncbi.nlm.nih.gov/pmc/blobs/f29b/5008840/c4918d5644a3/pone.0161566.g004.jpg
https://cdn.ncbi.nlm.nih.gov/pmc/blobs/f29b/5008840/8248209447fd/pone.0161566.g005.jpg
https://cdn.ncbi.nlm.nih.gov/pmc/blobs/f29b/5008840/7aa5339c1b7c/pone.0161566.g006.jpg
https://cdn.ncbi.nlm.nih.gov/pmc/blobs/f29b/5008840/ca1e5a3aba26/pone.0161566.g007.jpg
https://cdn.ncbi.nlm.nih.gov/pmc/blobs/f29b/5008840/bda2f0ba2da4/pone.0161566.g008.jpg
https://cdn.ncbi.nlm.nih.gov/pmc/blobs/f29b/5008840/4d850d8acd2d/pone.0161566.g009.jpg

相似文献

1
α-Mangostin Extraction from the Native Mangosteen (Garcinia mangostana L.) and the Binding Mechanisms of α-Mangostin to HSA or TRF.从天然山竹(莽吉柿,Garcinia mangostana L.)中提取α-倒捻子素以及α-倒捻子素与HSA或TRF的结合机制。
PLoS One. 2016 Sep 1;11(9):e0161566. doi: 10.1371/journal.pone.0161566. eCollection 2016.
2
Alpha-Mangostin-Rich Extracts from Mangosteen Pericarp: Optimization of Green Extraction Protocol and Evaluation of Biological Activity.富含α-倒捻子素的山竹果皮提取物:绿色提取方案的优化及生物活性评价。
Molecules. 2018 Jul 25;23(8):1852. doi: 10.3390/molecules23081852.
3
Distribution of major xanthones in the pericarp, aril, and yellow gum of mangosteen (Garcinia mangostana linn.) fruit and their contribution to antioxidative activity.山竹(莽吉柿,Garcinia mangostana linn.)果实的果皮、假种皮和黄色乳胶中主要氧杂蒽酮的分布及其抗氧化活性贡献
Biosci Biotechnol Biochem. 2013;77(5):984-7. doi: 10.1271/bbb.120931. Epub 2013 May 7.
4
Synergism and the mechanism of action of the combination of α-mangostin isolated from Garcinia mangostana L. and oxacillin against an oxacillin-resistant Staphylococcus saprophyticus.山竹果(Garcinia mangostana L.)中分离出的α-倒捻子素与苯唑西林联合应用对耐苯唑西林腐生葡萄球菌的协同作用及作用机制
BMC Microbiol. 2016 Aug 26;16(1):195. doi: 10.1186/s12866-016-0814-4.
5
L. Pericarp Extract and Its Active Compound α-Mangostin as Potential Inhibitors of Immune Checkpoint Programmed Death Ligand-1.L. 果皮提取物及其活性化合物 α-倒捻子素作为免疫检查点程序性死亡配体-1 的潜在抑制剂。
Molecules. 2023 Oct 9;28(19):6991. doi: 10.3390/molecules28196991.
6
Binding between Saikosaponin C and Human Serum Albumin by Fluorescence Spectroscopy and Molecular Docking.柴胡皂苷C与人血清白蛋白的荧光光谱及分子对接结合研究
Molecules. 2016 Jan 28;21(2):153. doi: 10.3390/molecules21020153.
7
Antioxidant xanthones from the pericarp of Garcinia mangostana (Mangosteen).山竹果皮中的抗氧化剂氧杂蒽酮。
J Agric Food Chem. 2006 Mar 22;54(6):2077-82. doi: 10.1021/jf052649z.
8
Pharmacokinetic characterization of mangosteen (Garcinia mangostana) fruit extract standardized to α-mangostin in C57BL/6 mice.在C57BL/6小鼠中对标准化为α-山竹黄酮的山竹果(莽吉柿)提取物进行药代动力学特征分析。
Nutr Res. 2014 Apr;34(4):336-45. doi: 10.1016/j.nutres.2014.03.002. Epub 2014 Mar 12.
9
Combined microwave-assisted extraction and high-speed counter-current chromatography for separation and purification of xanthones from Garcinia mangostana.联合微波辅助提取和高速逆流色谱法从山竹果中分离和纯化黄烷酮。
J Chromatogr B Analyt Technol Biomed Life Sci. 2011 Oct 15;879(28):3023-7. doi: 10.1016/j.jchromb.2011.08.040. Epub 2011 Sep 2.
10
Bioaccessibility, biotransformation, and transport of alpha-mangostin from Garcinia mangostana (Mangosteen) using simulated digestion and Caco-2 human intestinal cells.利用模拟消化和Caco-2人肠道细胞研究山竹果中α-倒捻子素的生物可及性、生物转化及转运
Mol Nutr Food Res. 2009 May;53 Suppl 1:S54-61. doi: 10.1002/mnfr.200800260.

引用本文的文献

1
Mode of binding, kinetic and thermodynamic properties of a lipid-like drug (Fingolimod) interacting with Human Serum Albumin.一种类脂药物(芬戈莫德)与人血清白蛋白相互作用的结合模式、动力学和热力学性质
Bioimpacts. 2023;13(2):109-121. doi: 10.34172/bi.2022.23383. Epub 2022 Nov 27.
2
Hyaluronic Acid-Coated Chitosan Nanoparticles as an Active Targeted Carrier of Alpha Mangostin for Breast Cancer Cells.透明质酸包被的壳聚糖纳米粒作为α-山竹黄酮对乳腺癌细胞的主动靶向载体
Polymers (Basel). 2023 Feb 18;15(4):1025. doi: 10.3390/polym15041025.
3
Effects of Mangosteen Peel Phenolic Compounds on Tilapia Skin Collagen-Based Mineralized Scaffold Properties.

本文引用的文献

1
Exploring the interaction between Salvia miltiorrhiza and human serum albumin: Insights from herb-drug interaction reports, computational analysis and experimental studies.探索丹参与人类血清白蛋白之间的相互作用:来自草药-药物相互作用报告、计算分析和实验研究的见解。
Spectrochim Acta A Mol Biomol Spectrosc. 2016 May 15;161:1-7. doi: 10.1016/j.saa.2016.02.015. Epub 2016 Feb 23.
2
Interactions of benzotriazole UV stabilizers with human serum albumin: Atomic insights revealed by biosensors, spectroscopies and molecular dynamics simulations.苯并三唑紫外线稳定剂与人血清白蛋白的相互作用:生物传感器、光谱学和分子动力学模拟揭示的原子层面见解
Chemosphere. 2016 Feb;144:1050-9. doi: 10.1016/j.chemosphere.2015.09.085. Epub 2015 Oct 23.
3
山竹果皮酚类化合物对罗非鱼皮胶原蛋白基矿化支架性能的影响。
ACS Omega. 2022 Sep 16;7(38):34022-34033. doi: 10.1021/acsomega.2c03266. eCollection 2022 Sep 27.
4
Nanoformulations of α-Mangostin for Cancer Drug Delivery System.用于癌症药物递送系统的α-山竹素纳米制剂
Pharmaceutics. 2021 Nov 24;13(12):1993. doi: 10.3390/pharmaceutics13121993.
5
Mineralization of Phosphorylated Fish Skin Collagen/Mangosteen Scaffolds as Potential Materials for Bone Tissue Regeneration.磷酸化鱼皮胶原蛋白/山竹支架的矿化作为骨组织再生的潜在材料。
Molecules. 2021 May 13;26(10):2899. doi: 10.3390/molecules26102899.
6
Prenylated xanthones from mangosteen (Garcinia mangostana) activate the AhR and Nrf2 pathways and protect intestinal barrier integrity in HT-29 cells.山竹(藤黄科藤黄属)中的prenylated xanthones 通过激活 AhR 和 Nrf2 通路,保护 HT-29 细胞的肠道屏障完整性。
Free Radic Biol Med. 2021 Feb 1;163:102-115. doi: 10.1016/j.freeradbiomed.2020.11.018. Epub 2020 Dec 9.
7
Physicochemical properties of alpha-mangostin loaded nanomeulsions prepared by ultrasonication technique.采用超声技术制备的载α-山竹素纳米乳剂的物理化学性质
Heliyon. 2019 Sep 13;5(9):e02465. doi: 10.1016/j.heliyon.2019.e02465. eCollection 2019 Sep.
8
A Novel Biological Role of α-Mangostin via TAK1-NF-κB Pathway against Inflammatory.α-倒捻子素通过 TAK1-NF-κB 通路对抗炎症的新生物学作用。
Inflammation. 2019 Feb;42(1):103-112. doi: 10.1007/s10753-018-0876-6.
Atomic-scale investigation of the interactions between tetrabromobisphenol A, tetrabromobisphenol S and bovine trypsin by spectroscopies and molecular dynamics simulations.
通过光谱和分子动力学模拟研究四溴双酚 A、四溴双酚 S 和牛胰蛋白酶之间的相互作用的原子尺度研究。
J Hazard Mater. 2015 Dec 15;299:486-94. doi: 10.1016/j.jhazmat.2015.07.050. Epub 2015 Jul 23.
4
Protein-protein interactions among enzymes of starch biosynthesis in high-amylose barley genotypes reveal differential roles of heteromeric enzyme complexes in the synthesis of A and B granules.高直链淀粉大麦基因型中淀粉生物合成酶之间的蛋白质-蛋白质相互作用揭示了异源酶复合物在A和B颗粒合成中的不同作用。
Plant Sci. 2015 Apr;233:95-106. doi: 10.1016/j.plantsci.2014.12.016. Epub 2015 Jan 7.
5
Topological, functional, and dynamic properties of the protein interaction networks rewired by benzo(a)pyrene.由苯并(a)芘重新连接的蛋白质相互作用网络的拓扑、功能和动态特性。
Toxicol Appl Pharmacol. 2015 Mar 1;283(2):83-91. doi: 10.1016/j.taap.2015.01.006. Epub 2015 Jan 14.
6
Antileishmanial activity of quinazoline derivatives: synthesis, docking screens, molecular dynamic simulations and electrochemical studies.喹唑啉衍生物的抗利什曼原虫活性:合成、对接筛选、分子动力学模拟和电化学研究。
Eur J Med Chem. 2015 Mar 6;92:314-31. doi: 10.1016/j.ejmech.2014.12.051. Epub 2014 Dec 29.
7
Spectroscopic study on the interaction between mononaphthalimide spermidine (MINS) and bovine serum albumin (BSA).单萘二甲酰亚胺亚精胺(MINS)与牛血清白蛋白(BSA)相互作用的光谱研究
J Photochem Photobiol B. 2015 Jan;142:103-9. doi: 10.1016/j.jphotobiol.2014.10.013. Epub 2014 Dec 6.
8
Spectroscopic and molecular modeling study on the separate and simultaneous bindings of alprazolam and fluoxetine hydrochloride to human serum albumin (HSA): with the aim of the drug interactions probing.阿普唑仑和盐酸氟西汀与人血清白蛋白(HSA)的单独及同时结合的光谱和分子模拟研究:旨在探究药物相互作用
Spectrochim Acta A Mol Biomol Spectrosc. 2015 Feb 25;137:1106-19. doi: 10.1016/j.saa.2014.08.149. Epub 2014 Oct 7.
9
Advances in clinical applications of tissue proteomics: opportunities and challenges.组织蛋白质组学临床应用的进展:机遇与挑战
Expert Rev Proteomics. 2014 Oct;11(5):531-3. doi: 10.1586/14789450.2014.953062. Epub 2014 Sep 4.
10
Docking server for the identification of heparin binding sites on proteins.用于识别蛋白质上肝素结合位点的对接服务器。
J Chem Inf Model. 2014 Jul 28;54(7):2068-78. doi: 10.1021/ci500115j. Epub 2014 Jul 10.