Almusawi Ahmed R J, Dülger L Canan, Kapucu Sadettin
Mechanical Engineering Department, University of Gaziantep, Gaziantep, Turkey; Mechatronics Engineering Department, University of Baghdad, Baghdad, Iraq.
Mechanical Engineering Department, University of Gaziantep, Gaziantep, Turkey.
Comput Intell Neurosci. 2016;2016:5720163. doi: 10.1155/2016/5720163. Epub 2016 Aug 17.
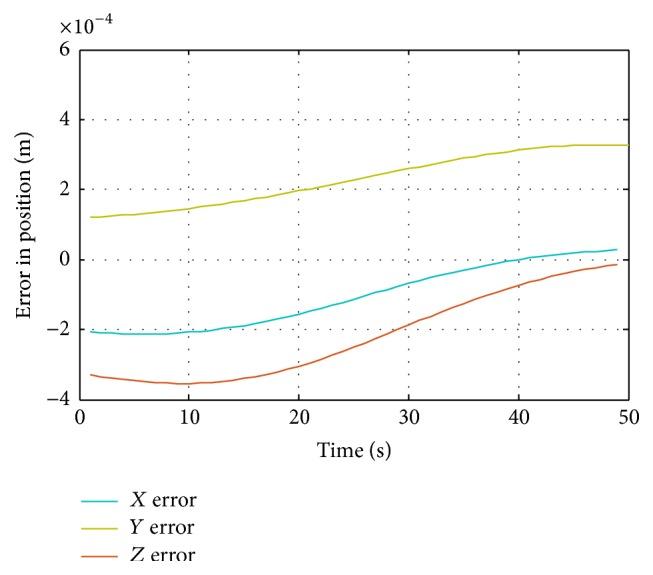
This paper presents a novel inverse kinematics solution for robotic arm based on artificial neural network (ANN) architecture. The motion of robotic arm is controlled by the kinematics of ANN. A new artificial neural network approach for inverse kinematics is proposed. The novelty of the proposed ANN is the inclusion of the feedback of current joint angles configuration of robotic arm as well as the desired position and orientation in the input pattern of neural network, while the traditional ANN has only the desired position and orientation of the end effector in the input pattern of neural network. In this paper, a six DOF Denso robotic arm with a gripper is controlled by ANN. The comprehensive experimental results proved the applicability and the efficiency of the proposed approach in robotic motion control. The inclusion of current configuration of joint angles in ANN significantly increased the accuracy of ANN estimation of the joint angles output. The new controller design has advantages over the existing techniques for minimizing the position error in unconventional tasks and increasing the accuracy of ANN in estimation of robot's joint angles.
本文提出了一种基于人工神经网络(ANN)架构的新型机器人手臂逆运动学解决方案。机器人手臂的运动由人工神经网络的运动学控制。提出了一种用于逆运动学的新型人工神经网络方法。所提出的人工神经网络的新颖之处在于,在神经网络的输入模式中纳入了机器人手臂当前关节角度配置的反馈以及期望的位置和方向,而传统的人工神经网络在神经网络的输入模式中仅具有末端执行器的期望位置和方向。在本文中,一个带有夹具的六自由度发那科机器人手臂由人工神经网络控制。综合实验结果证明了所提出的方法在机器人运动控制中的适用性和效率。在人工神经网络中纳入当前关节角度配置显著提高了人工神经网络对关节角度输出估计的准确性。新的控制器设计在最小化非常规任务中的位置误差以及提高人工神经网络在估计机器人关节角度方面的准确性方面优于现有技术。