• 文献检索
  • 文档翻译
  • 深度研究
  • 学术资讯
  • Suppr Zotero 插件Zotero 插件
  • 邀请有礼
  • 套餐&价格
  • 历史记录
应用&插件
Suppr Zotero 插件Zotero 插件浏览器插件Mac 客户端Windows 客户端微信小程序
定价
高级版会员购买积分包购买API积分包
服务
文献检索文档翻译深度研究API 文档MCP 服务
关于我们
关于 Suppr公司介绍联系我们用户协议隐私条款
关注我们

Suppr 超能文献

核心技术专利:CN118964589B侵权必究
粤ICP备2023148730 号-1Suppr @ 2026

文献检索

告别复杂PubMed语法,用中文像聊天一样搜索,搜遍4000万医学文献。AI智能推荐,让科研检索更轻松。

立即免费搜索

文件翻译

保留排版,准确专业,支持PDF/Word/PPT等文件格式,支持 12+语言互译。

免费翻译文档

深度研究

AI帮你快速写综述,25分钟生成高质量综述,智能提取关键信息,辅助科研写作。

立即免费体验

半乳糖凝集素-1在感染期间的保护作用与前列腺素E和一氧化氮调节有关。

Protective Effect of Galectin-1 during Infection Is Associated with Prostaglandin E and Nitric Oxide Modulation.

作者信息

Rodrigues Lílian Cataldi, Secatto Adriana, Sorgi Carlos A, Dejani Naiara N, Medeiros Alexandra I, Prado Morgana Kelly Borges, Ramos Simone Gusmão, Cummings Richard D, Stowell Sean R, Faccioli Lúcia Helena, Dias-Baruffi Marcelo

机构信息

Departamento de Análises Clínicas, Toxicológicas e Bromatológicas, Faculdade de Ciências Farmacêuticas de Ribeirão Preto, Universidade de São Paulo (USP), 14040-903 Ribeirão Preto, SP, Brazil.

Departamento de Ciências Biológicas, Faculdade de Ciências Farmacêuticas, Universidade Estadual Paulista (UNESP), 14801-902 Araraquara, SP, Brazil.

出版信息

Mediators Inflamm. 2016;2016:5813794. doi: 10.1155/2016/5813794. Epub 2016 Sep 6.

DOI:10.1155/2016/5813794
PMID:27698545
原文链接:https://pmc.ncbi.nlm.nih.gov/articles/PMC5028869/
Abstract

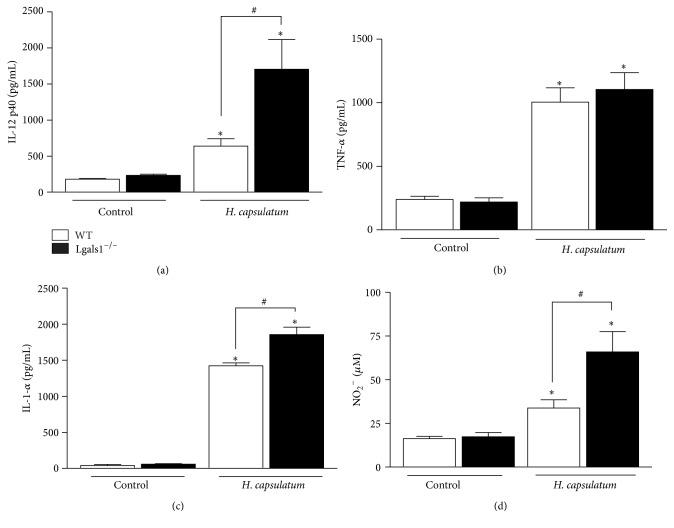
is a dimorphic fungus that develops a yeast-like morphology in host's tissue, responsible for the pulmonary disease histoplasmosis. The recent increase in the incidence of histoplasmosis in immunocompromised patients highlights the need of understanding immunological controls of fungal infections. Here, we describe our discovery of the role of endogenous galectin-1 (Gal-1) in the immune pathophysiology of experimental histoplasmosis. All infected wild-type (WT) mice survived while only 1/3 of Lgals1 mice genetically deficient in Gal-1 survived 30 days after infection. Although infected Lgals1 mice had increased proinflammatory cytokines, nitric oxide (NO), and elevations in neutrophil pulmonary infiltration, they presented higher fungal load in lungs and spleen. Infected lung and infected macrophages from Lgals1 mice exhibited elevated levels of prostaglandin E (PGE, a prostanoid regulator of macrophage activation) and prostaglandin E synthase 2 () mRNA. Gal-1 did not bind to cell surface of yeast phase of , , suggesting that Gal-1 contributed to phagocytes response to infection rather than directly killing the yeast. The data provides the first demonstration of endogenous Gal-1 in the protective immune response against associated with NO and PGE as an important lipid mediator in the pathogenesis of histoplasmosis.

摘要

是一种双相真菌,在宿主组织中呈现酵母样形态,可引发肺部疾病组织胞浆菌病。免疫功能低下患者中组织胞浆菌病发病率最近有所上升,这凸显了理解真菌感染免疫控制的必要性。在此,我们描述了我们对内源性半乳糖凝集素-1(Gal-1)在实验性组织胞浆菌病免疫病理生理学中作用的发现。所有感染的野生型(WT)小鼠均存活,而Gal-1基因缺陷的Lgals1小鼠在感染后30天只有1/3存活。尽管感染的Lgals1小鼠促炎细胞因子、一氧化氮(NO)增加,中性粒细胞肺浸润升高,但它们在肺和脾脏中的真菌载量更高。来自Lgals1小鼠的感染肺和感染巨噬细胞显示前列腺素E(PGE,巨噬细胞激活的类前列腺素调节剂)和前列腺素E合酶2()mRNA水平升高。Gal-1不与、、酵母相的细胞表面结合,这表明Gal-1有助于吞噬细胞对感染的反应,而不是直接杀死酵母。这些数据首次证明了内源性Gal-1在与NO和PGE相关的针对的保护性免疫反应中的作用,PGE是组织胞浆菌病发病机制中的一种重要脂质介质。

https://cdn.ncbi.nlm.nih.gov/pmc/blobs/4bfb/5028869/358f5ccbc4c4/MI2016-5813794.006.jpg
https://cdn.ncbi.nlm.nih.gov/pmc/blobs/4bfb/5028869/f3ed2ca806f2/MI2016-5813794.001.jpg
https://cdn.ncbi.nlm.nih.gov/pmc/blobs/4bfb/5028869/7de296ba0e2a/MI2016-5813794.002.jpg
https://cdn.ncbi.nlm.nih.gov/pmc/blobs/4bfb/5028869/aeec95381196/MI2016-5813794.003.jpg
https://cdn.ncbi.nlm.nih.gov/pmc/blobs/4bfb/5028869/4fcd20ffafe8/MI2016-5813794.004.jpg
https://cdn.ncbi.nlm.nih.gov/pmc/blobs/4bfb/5028869/c9833cdb78b1/MI2016-5813794.005.jpg
https://cdn.ncbi.nlm.nih.gov/pmc/blobs/4bfb/5028869/358f5ccbc4c4/MI2016-5813794.006.jpg
https://cdn.ncbi.nlm.nih.gov/pmc/blobs/4bfb/5028869/f3ed2ca806f2/MI2016-5813794.001.jpg
https://cdn.ncbi.nlm.nih.gov/pmc/blobs/4bfb/5028869/7de296ba0e2a/MI2016-5813794.002.jpg
https://cdn.ncbi.nlm.nih.gov/pmc/blobs/4bfb/5028869/aeec95381196/MI2016-5813794.003.jpg
https://cdn.ncbi.nlm.nih.gov/pmc/blobs/4bfb/5028869/4fcd20ffafe8/MI2016-5813794.004.jpg
https://cdn.ncbi.nlm.nih.gov/pmc/blobs/4bfb/5028869/c9833cdb78b1/MI2016-5813794.005.jpg
https://cdn.ncbi.nlm.nih.gov/pmc/blobs/4bfb/5028869/358f5ccbc4c4/MI2016-5813794.006.jpg

相似文献

1
Protective Effect of Galectin-1 during Infection Is Associated with Prostaglandin E and Nitric Oxide Modulation.半乳糖凝集素-1在感染期间的保护作用与前列腺素E和一氧化氮调节有关。
Mediators Inflamm. 2016;2016:5813794. doi: 10.1155/2016/5813794. Epub 2016 Sep 6.
2
Biodiverse Species Elicit Distinct Patterns of Pulmonary Inflammation following Sublethal Infection.生物多样性物种在亚致死感染后引发不同模式的肺部炎症。
mSphere. 2020 Aug 26;5(4):e00742-20. doi: 10.1128/mSphere.00742-20.
3
Gr-1+ cells play an essential role in an experimental model of disseminated histoplasmosis.Gr-1+细胞在播散性组织胞浆菌病的实验模型中发挥着重要作用。
Microbes Infect. 2007 Oct;9(12-13):1393-401. doi: 10.1016/j.micinf.2006.10.007. Epub 2006 Dec 12.
4
Regulation of infection with Histoplasma capsulatum by TNFR1 and -2.肿瘤坏死因子受体1和2对荚膜组织胞浆菌感染的调节作用
J Immunol. 2000 Sep 1;165(5):2657-64. doi: 10.4049/jimmunol.165.5.2657.
5
Celecoxib improves host defense through prostaglandin inhibition during Histoplasma capsulatum infection.塞来昔布通过抑制前列腺素在荚膜组织胞浆菌感染期间增强宿主防御。
Mediators Inflamm. 2013;2013:950981. doi: 10.1155/2013/950981. Epub 2013 Apr 22.
6
Neutralization of endogenous granulocyte-macrophage colony-stimulating factor subverts the protective immune response to Histoplasma capsulatum.内源性粒细胞巨噬细胞集落刺激因子的中和作用破坏了对荚膜组织胞浆菌的保护性免疫反应。
J Immunol. 1999 Nov 1;163(9):4985-93.
7
Profile of cytokines in the lungs of BALB/c mice after intra-nasal infection with Histoplasma capsulatum mycelial propagules.用荚膜组织胞浆菌菌丝繁殖体经鼻内感染BALB/c小鼠后,其肺内细胞因子概况。
Comp Immunol Microbiol Infect Dis. 2015 Aug;41:1-9. doi: 10.1016/j.cimid.2015.05.003. Epub 2015 Jun 3.
8
Histoplasma capsulatum utilizes siderophores for intracellular iron acquisition in macrophages.荚膜组织胞浆菌利用铁载体在巨噬细胞内摄取铁。
Med Mycol. 2011 Aug;49(6):633-42. doi: 10.3109/13693786.2011.558930. Epub 2011 Feb 22.
9
Interleukin-1 and host control of pulmonary histoplasmosis.白细胞介素-1与肺部组织胞浆菌病的宿主控制
J Infect Dis. 2006 Sep 15;194(6):855-64. doi: 10.1086/506946. Epub 2006 Aug 10.
10
Prostaglandins D and E have opposite effects on alveolar macrophages infected with .前列腺素 D 和 E 对感染的肺泡巨噬细胞有相反的作用。
J Lipid Res. 2018 Feb;59(2):195-206. doi: 10.1194/jlr.M078162. Epub 2017 Dec 7.

引用本文的文献

1
Galectin-1 mediates interactions between polymorphonuclear leukocytes and vascular endothelial cells, and promotes their extravasation during lipopolysaccharide-induced acute lung injury.半乳糖凝集素-1 介导多形核白细胞和血管内皮细胞之间的相互作用,并在脂多糖诱导的急性肺损伤期间促进其渗出。
Mol Immunol. 2023 Apr;156:127-135. doi: 10.1016/j.molimm.2023.02.011. Epub 2023 Mar 13.
2
The role of galectins in immunity and infection.半乳糖凝集素在免疫和感染中的作用。
Nat Rev Immunol. 2023 Aug;23(8):479-494. doi: 10.1038/s41577-022-00829-7. Epub 2023 Jan 16.
3
Complex and Controversial Roles of Eicosanoids in Fungal Pathogenesis.

本文引用的文献

1
PGE2 induced in and released by dying cells functions as an inhibitory DAMP.死亡细胞诱导并释放的前列腺素E2作为一种抑制性损伤相关分子模式发挥作用。
Proc Natl Acad Sci U S A. 2016 Apr 5;113(14):3844-9. doi: 10.1073/pnas.1602023113. Epub 2016 Mar 21.
2
Prostaglandin E₂ constrains systemic inflammation through an innate lymphoid cell-IL-22 axis.前列腺素E₂通过固有淋巴细胞-IL-22轴抑制全身炎症。
Science. 2016 Mar 18;351(6279):1333-8. doi: 10.1126/science.aad9903.
3
Inhibition of TREM-1 and Dectin-1 Alleviates the Severity of Fungal Keratitis by Modulating Innate Immune Responses.
类花生酸在真菌致病过程中的复杂且具争议性的作用
J Fungi (Basel). 2021 Mar 28;7(4):254. doi: 10.3390/jof7040254.
4
The Sweet-Side of Leukocytes: Galectins as Master Regulators of Neutrophil Function.白细胞的甜蜜一面:半乳糖凝集素作为中性粒细胞功能的主要调节因子。
Front Immunol. 2019 Aug 7;10:1762. doi: 10.3389/fimmu.2019.01762. eCollection 2019.
5
The Role of Collectins and Galectins in Lung Innate Immune Defense.集蛋白和半乳凝素在肺固有免疫防御中的作用。
Front Immunol. 2018 Sep 4;9:1998. doi: 10.3389/fimmu.2018.01998. eCollection 2018.
抑制触发受体表达分子-1(TREM-1)和树突状细胞相关C型凝集素-1(Dectin-1)可通过调节固有免疫反应减轻真菌性角膜炎的严重程度。
PLoS One. 2016 Mar 10;11(3):e0150114. doi: 10.1371/journal.pone.0150114. eCollection 2016.
4
[Galectins in hematological malignancies--role, functions and potential therapeutic targets].[半乳糖凝集素在血液系统恶性肿瘤中的作用、功能及潜在治疗靶点]
Postepy Hig Med Dosw (Online). 2016 Feb 14;70:95-103. doi: 10.5604/17322693.1194808.
5
Galectins and Immune Responses-Just How Do They Do Those Things They Do?半乳糖凝集素与免疫应答——它们究竟是如何发挥作用的?
Annu Rev Immunol. 2016 May 20;34:243-64. doi: 10.1146/annurev-immunol-041015-055402. Epub 2016 Feb 22.
6
Trichomonas vaginalis Lipophosphoglycan Exploits Binding to Galectin-1 and -3 to Modulate Epithelial Immunity.阴道毛滴虫脂磷壁酸聚糖通过与半乳糖凝集素-1和-3结合来调节上皮免疫。
J Biol Chem. 2016 Jan 8;291(2):998-1013. doi: 10.1074/jbc.M115.651497. Epub 2015 Nov 20.
7
Inflammation Controls Sensitivity of Human and Mouse Intestinal Epithelial Cells to Galectin-1.炎症控制人和小鼠肠道上皮细胞对半乳糖凝集素-1的敏感性。
J Cell Physiol. 2016 Jul;231(7):1575-85. doi: 10.1002/jcp.25249. Epub 2015 Dec 28.
8
Galectin-1 Prevents Infection and Damage Induced by Trypanosoma cruzi on Cardiac Cells.半乳糖凝集素-1可预防克氏锥虫对心脏细胞造成的感染和损伤。
PLoS Negl Trop Dis. 2015 Oct 9;9(10):e0004148. doi: 10.1371/journal.pntd.0004148. eCollection 2015.
9
Trypanosoma cruzi Infection Imparts a Regulatory Program in Dendritic Cells and T Cells via Galectin-1-Dependent Mechanisms.克氏锥虫感染通过半乳糖凝集素-1依赖机制在树突状细胞和T细胞中赋予一种调节程序。
J Immunol. 2015 Oct 1;195(7):3311-24. doi: 10.4049/jimmunol.1403019. Epub 2015 Aug 31.
10
Insights into IL-23 biology: From structure to function.深入了解白细胞介素-23 生物学:从结构到功能。
Cytokine Growth Factor Rev. 2015 Oct;26(5):569-78. doi: 10.1016/j.cytogfr.2015.07.005. Epub 2015 Jul 11.