Suppr超能文献

小型河流中F特异性RNA噬菌体的原位动态:水质研究中评估病毒传播的新方法。

In Situ Dynamics of F-Specific RNA Bacteriophages in a Small River: New Way to Assess Viral Propagation in Water Quality Studies.

作者信息

Fauvel Blandine, Gantzer Christophe, Cauchie Henry-Michel, Ogorzaly Leslie

机构信息

Department of Environmental Research and Innovation (ERIN), Luxembourg Institute of Science and Technology (LIST), 41, rue du Brill, 4422, Belvaux, Luxembourg.

Laboratoire de Chimie, Physique et Microbiologie pour l'Environnement (LCPME), UMR 7564, Faculté de Pharmacie, Université de Lorraine, 5 rue Albert Lebrun, Nancy, 54000, France.

出版信息

Food Environ Virol. 2017 Mar;9(1):89-102. doi: 10.1007/s12560-016-9266-0. Epub 2016 Oct 22.

Abstract

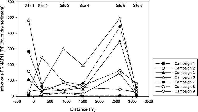
The occurrence and propagation of enteric viruses in rivers constitute a major public health issue. However, little information is available on the in situ transport and spread of viruses in surface water. In this study, an original in situ experimental approach using the residence time of the river water mass was developed to accurately follow the propagation of F-specific RNA bacteriophages (FRNAPHs) along a 3-km studied river. Surface water and sediment of 9 sampling campaigns were collected and analyzed using both infectivity and RT-qPCR assays. In parallel, some physico-chemical variables such as flow rate, water temperature, conductivity and total suspended solids were measured to investigate the impact of environmental conditions on phage propagation. For campaigns with low flow rate and high temperature, the results highlight a decrease of infectious phage concentration along the river, which was successfully modelled according to a first-order negative exponential decay. The monitoring of infectious FRNAPHs belonging mainly to the genogroup II was confirmed with direct phage genotyping and total phage particle quantification. Reported k decay coefficients according to exponential models allowed for the determination of the actual in situ distance and time necessary for removing 90 % of infectious phage particles. This present work provides a new way to assess the true in situ viral propagation along a small river. These findings can be highly useful in water quality and risk assessment studies to determine the viral contamination spread from a point contamination source to the nearest recreational areas.

摘要

肠道病毒在河流中的发生和传播构成了一个重大的公共卫生问题。然而,关于病毒在地表水中的原位迁移和扩散的信息却很少。在本研究中,开发了一种利用河水团停留时间的原位实验方法,以准确跟踪F特异性RNA噬菌体(FRNAPHs)在一条3公里长的研究河流中的传播。收集了9次采样活动的地表水和沉积物,并使用感染性测定和逆转录定量聚合酶链反应(RT-qPCR)分析进行分析。同时,测量了一些物理化学变量,如流速、水温、电导率和总悬浮固体,以研究环境条件对噬菌体传播的影响。对于低流速和高温的采样活动,结果表明沿河流传染性噬菌体浓度降低,这可以根据一阶负指数衰减成功建模。通过直接噬菌体基因分型和总噬菌体颗粒定量,证实了对主要属于基因组II的传染性FRNAPHs的监测。根据指数模型报告的k衰减系数可以确定去除90%传染性噬菌体颗粒所需的实际原位距离和时间。这项工作提供了一种评估病毒在一条小河中真实原位传播的新方法。这些发现对于水质和风险评估研究非常有用,可用于确定从点污染源到最近娱乐区的病毒污染扩散情况。

https://cdn.ncbi.nlm.nih.gov/pmc/blobs/e1f6/5309317/6e23bc7dc60f/12560_2016_9266_Fig1_HTML.jpg

相似文献

1
In Situ Dynamics of F-Specific RNA Bacteriophages in a Small River: New Way to Assess Viral Propagation in Water Quality Studies.
Food Environ Virol. 2017 Mar;9(1):89-102. doi: 10.1007/s12560-016-9266-0. Epub 2016 Oct 22.
5
Quantitative Distribution of Infectious F-Specific RNA Phage Genotypes in Surface Waters.
Appl Environ Microbiol. 2016 Jun 30;82(14):4244-4252. doi: 10.1128/AEM.00621-16. Print 2016 Jul 15.
6
Relationship between F-specific RNA phage genogroups, faecal pollution indicators and human adenoviruses in river water.
Water Res. 2009 Mar;43(5):1257-64. doi: 10.1016/j.watres.2008.12.011. Epub 2008 Dec 24.
8
Application of real-time PCR assays to genotyping of F-specific phages in river water and sediments in Japan.
Water Res. 2009 Aug;43(15):3759-64. doi: 10.1016/j.watres.2009.05.043. Epub 2009 Jun 6.
10
Comparative resistance of phage isolates of four genotypes of f-specific RNA bacteriophages to various inactivation processes.
Appl Environ Microbiol. 2002 Aug;68(8):3702-7. doi: 10.1128/AEM.68.8.3702-3707.2002.

引用本文的文献

1
Flow Virometry: A Fluorescence-Based Approach to Enumerate Bacteriophages in Liquid Samples.
Methods Mol Biol. 2024;2738:175-184. doi: 10.1007/978-1-0716-3549-0_11.
2
Human viruses lurking in the environment activated by excessive use of COVID-19 prevention supplies.
Environ Int. 2022 May;163:107192. doi: 10.1016/j.envint.2022.107192. Epub 2022 Mar 22.
3
Transmission risk of SARS-CoV-2 in the watershed triggered by domestic wastewater discharge.
Sci Total Environ. 2022 Feb 1;806(Pt 4):150888. doi: 10.1016/j.scitotenv.2021.150888. Epub 2021 Oct 9.
4
Estimation of the potential spread risk of COVID-19: Occurrence assessment along the Yangtze, Han, and Fu River basins in Hubei, China.
Sci Total Environ. 2020 Dec 1;746:141353. doi: 10.1016/j.scitotenv.2020.141353. Epub 2020 Jul 29.
5
Storm Response of Fluvial Sedimentary Microplastics.
Sci Rep. 2020 Feb 5;10(1):1865. doi: 10.1038/s41598-020-58765-2.
6
Colloid chemistry pitfall for flow cytometric enumeration of viruses in water.
Water Res X. 2019 Jan 23;2:100025. doi: 10.1016/j.wroa.2019.100025. eCollection 2019 Feb 1.

本文引用的文献

1
Quantitative Distribution of Infectious F-Specific RNA Phage Genotypes in Surface Waters.
Appl Environ Microbiol. 2016 Jun 30;82(14):4244-4252. doi: 10.1128/AEM.00621-16. Print 2016 Jul 15.
3
Human adenovirus spread, rainfalls, and the occurrence of gastroenteritis cases in a Brazilian basin.
Environ Monit Assess. 2015 Nov;187(11):720. doi: 10.1007/s10661-015-4917-4. Epub 2015 Oct 30.
4
Occurrence of and Sequence Variation among F-Specific RNA Bacteriophage Subgroups in Feces and Wastewater of Urban and Animal Origins.
Appl Environ Microbiol. 2015 Sep;81(18):6505-15. doi: 10.1128/AEM.01905-15. Epub 2015 Jul 10.
5
Distinct behaviors of infectious F-specific RNA coliphage genogroups at a wastewater treatment plant.
Sci Total Environ. 2015 Jul 1;520:32-8. doi: 10.1016/j.scitotenv.2015.03.034. Epub 2015 Mar 17.
6
Stormwater runoff drives viral community composition changes in inland freshwaters.
Front Microbiol. 2014 Mar 14;5:105. doi: 10.3389/fmicb.2014.00105. eCollection 2014.
8
Comparative persistence of subgroups of F-specific RNA phages in river water.
Appl Environ Microbiol. 2013 Aug;79(15):4564-7. doi: 10.1128/AEM.00612-13. Epub 2013 May 17.
9
Waterborne human pathogenic viruses of public health concern.
Int J Environ Health Res. 2013 Dec;23(6):544-64. doi: 10.1080/09603123.2013.769205. Epub 2013 Feb 22.
10
Recovery of viable cyanophages from the sediments of a eutrophic lake at decadal timescales.
FEMS Microbiol Ecol. 2013 Feb;83(2):450-6. doi: 10.1111/1574-6941.12005. Epub 2012 Oct 17.

文献AI研究员

20分钟写一篇综述,助力文献阅读效率提升50倍。

立即体验

用中文搜PubMed

大模型驱动的PubMed中文搜索引擎

马上搜索

文档翻译

学术文献翻译模型,支持多种主流文档格式。

立即体验