Tučník Petr, Bureš Vladimír
Faculty of Informatics and Management, University of Hradec Králové, Rokitanského 62, Hradec Králové, Czech Republic.
PLoS One. 2016 Nov 2;11(11):e0165171. doi: 10.1371/journal.pone.0165171. eCollection 2016.
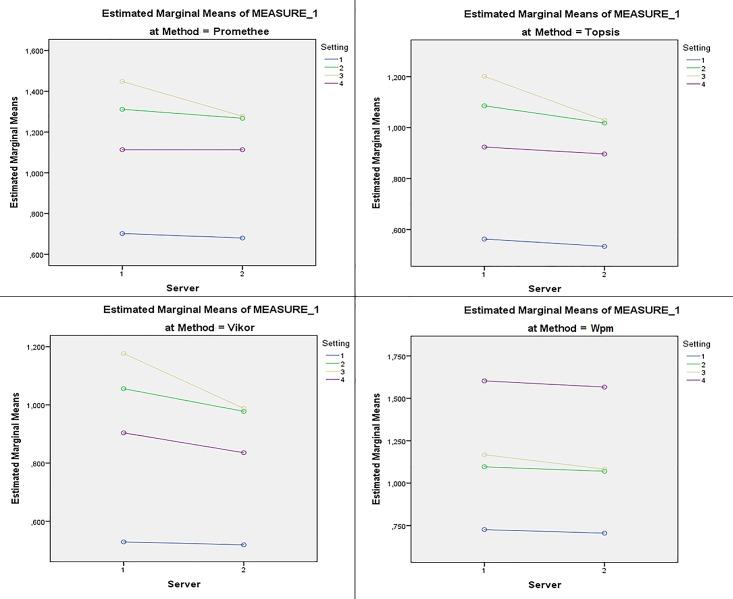
Multi-criteria decision-making (MCDM) can be formally implemented by various methods. This study compares suitability of four selected MCDM methods, namely WPM, TOPSIS, VIKOR, and PROMETHEE, for future applications in agent-based computational economic (ACE) models of larger scale (i.e., over 10 000 agents in one geographical region). These four MCDM methods were selected according to their appropriateness for computational processing in ACE applications. Tests of the selected methods were conducted on four hardware configurations. For each method, 100 tests were performed, which represented one testing iteration. With four testing iterations conducted on each hardware setting and separated testing of all configurations with the-server parameter de/activated, altogether, 12800 data points were collected and consequently analyzed. An illustrational decision-making scenario was used which allows the mutual comparison of all of the selected decision making methods. Our test results suggest that although all methods are convenient and can be used in practice, the VIKOR method accomplished the tests with the best results and thus can be recommended as the most suitable for simulations of large-scale agent-based models.
多准则决策(MCDM)可以通过多种方法正式实施。本研究比较了四种选定的MCDM方法,即加权乘积模型(WPM)、逼近理想解排序法(TOPSIS)、VIKOR法和偏好顺序结构评估法(PROMETHEE),以便未来应用于更大规模(即一个地理区域内超过10000个智能体)的基于智能体的计算经济学(ACE)模型。根据这四种MCDM方法在ACE应用中进行计算处理的适用性来进行选择。在所选择的四种硬件配置上对这些方法进行了测试。对于每种方法,进行了100次测试,这代表一次测试迭代。在每个硬件设置上进行了四次测试迭代,并在服务器参数激活/停用的情况下对所有配置进行单独测试,总共收集了12800个数据点并进行了分析。使用了一个说明性的决策场景,以便对所有选定的决策方法进行相互比较。我们的测试结果表明,尽管所有方法都很方便且可在实践中使用,但VIKOR方法在测试中取得了最佳结果,因此可以推荐其为最适合大规模基于智能体模型模拟的方法。