National Institute for Materials Science, Tsukuba, Ibaraki 305-0003, Japan.
Department of Applied Physics, University of Tokyo, Bunkyo-ku, Tokyo 113-8656, Japan.
Nat Commun. 2016 Nov 14;7:13494. doi: 10.1038/ncomms13494.
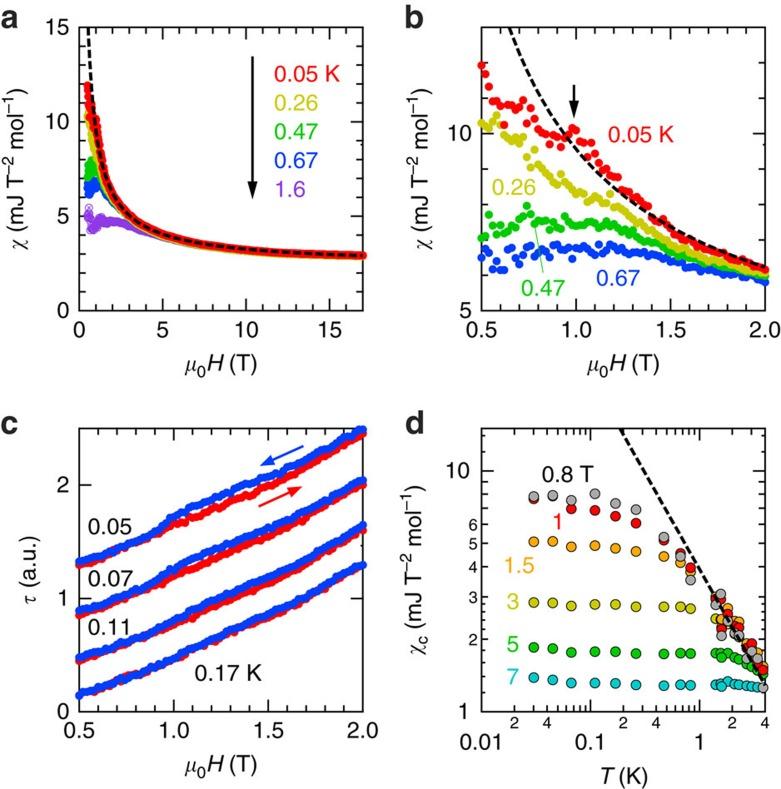
A quantum spin-liquid state, an exotic state of matter, appears when strong quantum fluctuations enhanced by competing exchange interactions suppress a magnetically ordered state. Generally, when an ordered state is continuously suppressed to 0 K by an external parameter, a quantum phase transition occurs. It exhibits critical scaling behaviour, characterized only by a few basic properties such as dimensions and symmetry. Here we report the low-temperature magnetic torque measurements in an organic triangular-lattice antiferromagnet, κ-(BEDT-TTF)Cu(CN), where BEDT-TTF stands for bis(ethylenedithio)tetrathiafulvalene. It is found that the magnetic susceptibilities derived from the torque data exhibit a universal critical scaling, indicating the quantum critical point at zero magnetic field, and the critical exponents, γ=0.83(6) and νz=1.0(1). These exponents greatly constrain the theoretical models for the quantum spin liquid, and at present, there is no theory to explain the values, to the best of our knowledge.
一种量子自旋液态,一种奇特的物质状态,出现在由竞争交换相互作用增强的强量子涨落抑制磁有序状态时。通常,当有序状态通过外部参数连续抑制到 0 K 时,会发生量子相变。它表现出临界标度行为,仅由几个基本特性(如维度和对称性)来描述。在这里,我们报告了在有机三角晶格反铁磁体 κ-(BEDT-TTF)Cu(CN)中低温磁转矩测量结果,其中 BEDT-TTF 代表双(乙基二硫代)四硫富瓦烯。结果表明,从转矩数据得出的磁化率表现出普遍的临界标度,表明在零磁场下存在量子临界点,以及临界指数 γ=0.83(6)和 νz=1.0(1)。这些指数极大地限制了量子自旋液体的理论模型,据我们所知,目前还没有理论可以解释这些数值。