Suppr超能文献

墨脱鹤顶兰的化学成分

Chemical Constituents of Phaius mishmensis.

作者信息

Jao Chen-Wei, Hung Tzu-Heng, Chang Chi-Fen, Chuang Ta-Hsien

机构信息

Department of Chemistry, National Cheng Kung University, Tainan 701, Taiwan.

School of Pharmacy, China Medical University, Taichung 40402, Taiwan.

出版信息

Molecules. 2016 Nov 23;21(11):1605. doi: 10.3390/molecules21111605.

Abstract

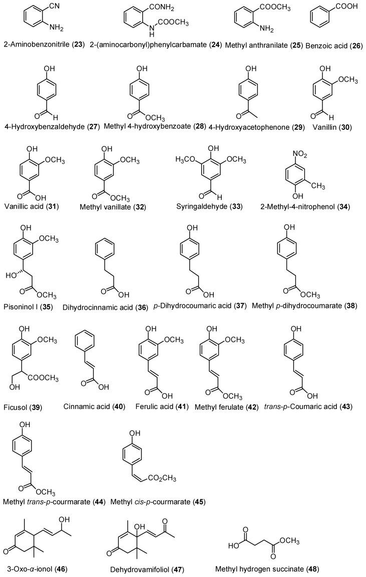
The partitioned -hexane, CHCl₃, and EtOAc extracts from the crude MeOH extract of showed considerable cytotoxicities against the human breast carcinoma (MCF-7), lung carcinoma (NCI-H460), and central nervous system carcinoma (SF-268) cell lines. Four new compounds, phaindole (), (7',8')-phaithrene (), methyl 3-hydroxy-4,5-dimethoxypropiophenone (), and methyl hematinate (), as well as 44 known compounds were isolated from the MeOH extract of . The structures of the compounds were determined using spectroscopic methods.

摘要

从粗甲醇提取物中得到的己烷、氯仿和乙酸乙酯萃取物对人乳腺癌(MCF-7)、肺癌(NCI-H460)和中枢神经系统癌(SF-268)细胞系显示出相当大的细胞毒性。从该提取物的甲醇提取物中分离出四种新化合物,即菲吲哚()、(7′,8′)-菲烯()、3-羟基-4,5-二甲氧基苯丙酮甲酯()和血晶素甲酯(),以及44种已知化合物。通过光谱方法确定了这些化合物的结构。

https://cdn.ncbi.nlm.nih.gov/pmc/blobs/a315/6272941/a91f17621004/molecules-21-01605-g001.jpg

文献AI研究员

20分钟写一篇综述,助力文献阅读效率提升50倍。

立即体验

用中文搜PubMed

大模型驱动的PubMed中文搜索引擎

马上搜索

文档翻译

学术文献翻译模型,支持多种主流文档格式。

立即体验