Suppr超能文献

高频超声检测细胞死亡:不同形式细胞死亡的光谱分化

High-frequency ultrasound detection of cell death: Spectral differentiation of different forms of cell death .

作者信息

Pasternak Maurice M, Sadeghi-Naini Ali, Ranieri Shawn M, Giles Anoja, Oelze Michael L, Kolios Michael C, Czarnota Gregory J

机构信息

Department of Radiation Oncology, Sunnybrook Health Sciences Center, Toronto, ON, Canada; Department of Laboratory Medicine & Pathobiology, University of Toronto, ON, Canada.

Department of Radiation Oncology, Sunnybrook Health Sciences Center, Toronto, ON, Canada; Physical Sciences, Sunnybrook Research Institute, Toronto, ON, Canada; Department of Medical Biophysics, University of Toronto, Toronto, ON, Canada; Department of Radiation Oncology, University of Toronto, Toronto, ON, Canada.

出版信息

Oncoscience. 2016 Sep 12;3(9-10):275-287. doi: 10.18632/oncoscience.319. eCollection 2016.

Abstract

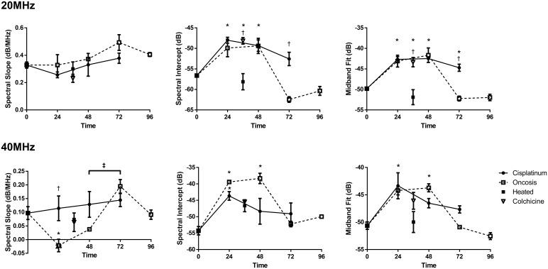
High frequency quantitative ultrasound techniques were investigated to characterize different forms of cell death . Suspension-grown acute myeloid leukemia cells were treated to cause apoptosis, oncosis, mitotic arrest, and heat-induced death. Samples were scanned with 20 and 40 MHz ultrasound and assessed histologically in terms of cellular structure. Frequency-domain analysis of 20 MHz ultrasound data demonstrated midband fit changes of 6.0 ± 0.7 dBr, 6.2 ± 1.8 dBr, 4.0 ± 1.0 dBr and -4.6 ± 1.7 dBr after 48-hour cisplatinum-induced apoptosis, 48-hour oncotic decay, 36-hour colchicine-induced mitotic arrest, and heat treatment compared to control, respectively. Trends from 40 MHz ultrasound were similar. Spectral slope changes obtained from 40 MHz ultrasound data were reflective of alterations in cell and nucleus size. Chromatin pyknosis or lysis trends suggested that the density of nuclear material may be responsible for observed changes in ultrasound backscatter. Flow cytometry analysis confirmed the modes of cell death and supported midband fit trends in ultrasound data. Scatterer-size and concentration estimates obtained from a fluid-filled sphere form factor model further corresponded with spectral analysis and histology. Results indicate quantitative ultrasound spectral analysis may be used for probing anti-cancer response and distinguishing various modes of cell death .

摘要

研究了高频定量超声技术以表征不同形式的细胞死亡。对悬浮培养的急性髓系白血病细胞进行处理,使其发生凋亡、胀亡、有丝分裂停滞和热诱导死亡。用20 MHz和40 MHz超声对样本进行扫描,并根据细胞结构进行组织学评估。对20 MHz超声数据的频域分析表明,与对照组相比,在顺铂诱导48小时凋亡、48小时胀亡衰变、秋水仙碱诱导36小时有丝分裂停滞以及热处理后,中频拟合变化分别为6.0±0.7 dBr、6.2±1.8 dBr、4.0±1.0 dBr和-4.6±1.7 dBr。40 MHz超声的趋势相似。从40 MHz超声数据获得的频谱斜率变化反映了细胞和细胞核大小的改变。染色质固缩或溶解趋势表明,核物质的密度可能是超声后向散射观察到变化的原因。流式细胞术分析证实了细胞死亡模式,并支持超声数据中的中频拟合趋势。从充满液体的球体形状因子模型获得的散射体大小和浓度估计进一步与频谱分析和组织学结果相符。结果表明,定量超声频谱分析可用于探测抗癌反应并区分各种细胞死亡模式。

https://cdn.ncbi.nlm.nih.gov/pmc/blobs/202a/5116945/2aa6899095b1/oncoscience-03-275-g001.jpg

文献AI研究员

20分钟写一篇综述,助力文献阅读效率提升50倍。

立即体验

用中文搜PubMed

大模型驱动的PubMed中文搜索引擎

马上搜索

文档翻译

学术文献翻译模型,支持多种主流文档格式。

立即体验