Kizivat Tomislav, Smolić Martina, Marić Ivana, Tolušić Levak Maja, Smolić Robert, Bilić Čurčić Ines, Kuna Lucija, Mihaljević Ivan, Včev Aleksandar, Tucak-Zorić Sandra
Clinical Hospital Osijek, Josipa Huttlera 4, HR-31000 Osijek, Croatia.
Faculty of Medicine Osijek, Josip Juraj Strossmayer University of Osijek, Cara Hadrijana 10, HR-3100 Osijek, Croatia.
Int J Environ Res Public Health. 2017 Jan 23;14(1):109. doi: 10.3390/ijerph14010109.
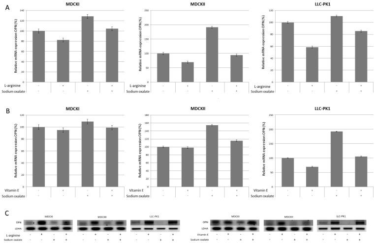
Urolithiasis is characterized by the formation and retention of solid crystals within the urinary tract. Kidney stones are mostly composed of calcium oxalate, which predominantly generates free radicals that are toxic to renal tubular cells. The aim of the study is to explore possible effects of antioxidant pre-treatment on inhibition of oxidative stress. Three cell lines were used as in vitro model of urolithiasis: MDCK I, MDCK II and LLC-PK1. Oxidative stress was induced by exposure of cells to sodium oxalate in concentration of 8 mM. In order to prevent oxidative stress, cells were pre-treated with three different concentrations of l-arginine and vitamin E. Oxidative stress was evaluated by determining the expression of superoxide dismutase (SOD), osteopontin (OPN), and by the concentration of glutathione (GSH). In all three cell lines, pre-treatment of antioxidants increased cell survival. Positive correlation of SOD and OPN expression as well as GSH concentration was observed in all groups of cells. Our results indicate that an antioxidant pre-treatment with l-arginine and vitamin E is able to hamper oxalate-induced oxidative stress in kidney epithelial cells and as such could play a role in prevention of urolithiasis.
尿石症的特征是尿路内形成并留存固体晶体。肾结石主要由草酸钙组成,草酸钙主要产生对肾小管细胞有毒的自由基。本研究的目的是探讨抗氧化剂预处理对抑制氧化应激的可能作用。使用三种细胞系作为尿石症的体外模型:MDCK I、MDCK II和LLC-PK1。通过将细胞暴露于浓度为8 mM的草酸钠来诱导氧化应激。为了预防氧化应激,用三种不同浓度的L-精氨酸和维生素E对细胞进行预处理。通过测定超氧化物歧化酶(SOD)、骨桥蛋白(OPN)的表达以及谷胱甘肽(GSH)的浓度来评估氧化应激。在所有三种细胞系中,抗氧化剂预处理均提高了细胞存活率。在所有细胞组中均观察到SOD和OPN表达以及GSH浓度呈正相关。我们的结果表明,用L-精氨酸和维生素E进行抗氧化剂预处理能够抑制草酸盐诱导的肾上皮细胞氧化应激,因此可能在预防尿石症中发挥作用。