• 文献检索
  • 文档翻译
  • 深度研究
  • 学术资讯
  • Suppr Zotero 插件Zotero 插件
  • 邀请有礼
  • 套餐&价格
  • 历史记录
应用&插件
Suppr Zotero 插件Zotero 插件浏览器插件Mac 客户端Windows 客户端微信小程序
定价
高级版会员购买积分包购买API积分包
服务
文献检索文档翻译深度研究API 文档MCP 服务
关于我们
关于 Suppr公司介绍联系我们用户协议隐私条款
关注我们

Suppr 超能文献

核心技术专利:CN118964589B侵权必究
粤ICP备2023148730 号-1Suppr @ 2026

文献检索

告别复杂PubMed语法,用中文像聊天一样搜索,搜遍4000万医学文献。AI智能推荐,让科研检索更轻松。

立即免费搜索

文件翻译

保留排版,准确专业,支持PDF/Word/PPT等文件格式,支持 12+语言互译。

免费翻译文档

深度研究

AI帮你快速写综述,25分钟生成高质量综述,智能提取关键信息,辅助科研写作。

立即免费体验

γ 射线辐照聚合-自组装法制备聚苯乙烯空心微球及其在电离辐射探测中的应用。

Polystyrene-based Hollow Microsphere Synthesized by γ-ray Irradiation-assisted Polymerization and Self-Assembly and Its Application in Detection of Ionizing Radiation.

机构信息

School of Radiation Medicine and Protection, and School for Radiological and Interdisciplinary Sciences (RAD-X), Medical College of Soochow University, Suzhou, Jiangsu 215123, P.R. China.

出版信息

Sci Rep. 2017 Jan 31;7:41876. doi: 10.1038/srep41876.

DOI:10.1038/srep41876
PMID:28139775
原文链接:https://pmc.ncbi.nlm.nih.gov/articles/PMC5282558/
Abstract

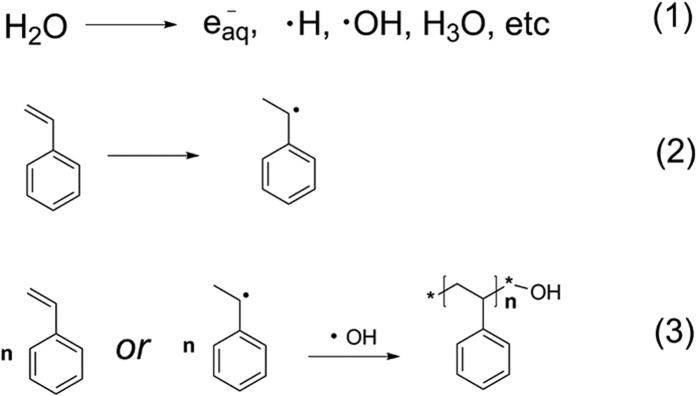
To simply and multitudinously synthesize hollow microspheres in a pure system is important for relevant research and application. Here, a simple and novel one-pot synthetic strategy to prepare polystyrene (PS) hollow microspheres via irradiation-assisted free-radical polymerizing and self-assembly (IFPS) approach under γ-ray irradiation with no additives introduced into the system is presented. And PS/2,5-Diphenyloxazole (PPO) fluorescent microspheres have been prepared successfully by IFPS reaction, which can be used as scintillators for the detection of ionizing radiation. A linear relationship between emitted luminescence and dose-activity in water is obtained, which suggests that composite microspheres could be used as liquid scintillation in specific environment.

摘要

简单而大量地在纯体系中合成中空微球对于相关研究和应用很重要。在这里,我们提出了一种简单新颖的一锅法,通过γ射线辐照下的无添加剂自由基聚合和自组装(IFPS)方法制备聚苯乙烯(PS)中空微球。并且通过 IFPS 反应成功制备了 PS/2,5-二苯并恶唑(PPO)荧光微球,可用作电离辐射检测的闪烁体。在水中,发射光与剂量活性之间存在线性关系,表明复合微球可在特定环境中用作液体闪烁体。

https://cdn.ncbi.nlm.nih.gov/pmc/blobs/1a6f/5282558/d85f6d7309fd/srep41876-f6.jpg
https://cdn.ncbi.nlm.nih.gov/pmc/blobs/1a6f/5282558/6de2f250d5e6/srep41876-f1.jpg
https://cdn.ncbi.nlm.nih.gov/pmc/blobs/1a6f/5282558/6e2e8a509ce6/srep41876-f2.jpg
https://cdn.ncbi.nlm.nih.gov/pmc/blobs/1a6f/5282558/e33ffbdf0079/srep41876-f3.jpg
https://cdn.ncbi.nlm.nih.gov/pmc/blobs/1a6f/5282558/92e97fc928f1/srep41876-f4.jpg
https://cdn.ncbi.nlm.nih.gov/pmc/blobs/1a6f/5282558/3325710d66b2/srep41876-f5.jpg
https://cdn.ncbi.nlm.nih.gov/pmc/blobs/1a6f/5282558/d85f6d7309fd/srep41876-f6.jpg
https://cdn.ncbi.nlm.nih.gov/pmc/blobs/1a6f/5282558/6de2f250d5e6/srep41876-f1.jpg
https://cdn.ncbi.nlm.nih.gov/pmc/blobs/1a6f/5282558/6e2e8a509ce6/srep41876-f2.jpg
https://cdn.ncbi.nlm.nih.gov/pmc/blobs/1a6f/5282558/e33ffbdf0079/srep41876-f3.jpg
https://cdn.ncbi.nlm.nih.gov/pmc/blobs/1a6f/5282558/92e97fc928f1/srep41876-f4.jpg
https://cdn.ncbi.nlm.nih.gov/pmc/blobs/1a6f/5282558/3325710d66b2/srep41876-f5.jpg
https://cdn.ncbi.nlm.nih.gov/pmc/blobs/1a6f/5282558/d85f6d7309fd/srep41876-f6.jpg

相似文献

1
Polystyrene-based Hollow Microsphere Synthesized by γ-ray Irradiation-assisted Polymerization and Self-Assembly and Its Application in Detection of Ionizing Radiation.γ 射线辐照聚合-自组装法制备聚苯乙烯空心微球及其在电离辐射探测中的应用。
Sci Rep. 2017 Jan 31;7:41876. doi: 10.1038/srep41876.
2
Self-assembly and enhanced photocatalytic properties of BiOI hollow microspheres via a reactable ionic liquid.通过反应性离子液体制备 BiOI 中空微球的自组装及增强的光催化性能。
Langmuir. 2011 Feb 1;27(3):1200-6. doi: 10.1021/la104054r. Epub 2010 Dec 29.
3
Synthesis and characterization of β-CD-coated polystyrene microspheres by γ-ray radiation emulsion polymerization.通过γ射线辐射乳液聚合合成并表征β-CD 包覆的聚苯乙烯微球。
Macromol Rapid Commun. 2012 Nov 23;33(22):1945-51. doi: 10.1002/marc.201200437. Epub 2012 Aug 10.
4
Self-assembled mesoporous hierarchical-like In2S3 hollow microspheres composed of nanofibers and nanosheets and their photocatalytic activity.由纳米纤维和纳米片组成的自组装介孔分级状 In2S3 空心微球及其光催化活性。
Langmuir. 2011 May 3;27(9):5534-41. doi: 10.1021/la104780d. Epub 2011 Apr 5.
5
In situ synthesis of temperature-sensitive hollow microspheres via interfacial polymerization.通过界面聚合原位合成温度敏感型中空微球。
J Am Chem Soc. 2005 Jun 15;127(23):8274-5. doi: 10.1021/ja051487k.
6
Water-dispersable colloidal quantum dots for the detection of ionizing radiation.用于检测电离辐射的水分散胶体量子点。
Chem Commun (Camb). 2013 Dec 25;49(99):11629-31. doi: 10.1039/c3cc46209a.
7
Hollow microsphere with mesoporous shell by Pickering emulsion polymerization as a potential colloidal collector for organic contaminants in water.通过皮克林乳液聚合制备的具有介孔壳的中空微球作为水中有机污染物的潜在胶体捕集剂。
Langmuir. 2014 Apr 8;30(13):3681-6. doi: 10.1021/la404914g. Epub 2014 Mar 26.
8
Ion-exchange synthesis of Ag/Ag2S/Ag3CuS2 ternary hollow microspheres with efficient visible-light photocatalytic activity.离子交换合成具有高效可见光光催化活性的 Ag/Ag2S/Ag3CuS2 三元中空微球。
Dalton Trans. 2014 Feb 21;43(7):2772-80. doi: 10.1039/c3dt52875h.
9
Facile synthesis of hierarchical porous γ-Al2O3 hollow microspheres for water treatment.用于水处理的层级多孔 γ-Al2O3 中空微球的简易合成。
J Colloid Interface Sci. 2014 Mar 1;417:369-78. doi: 10.1016/j.jcis.2013.11.071. Epub 2013 Dec 12.
10
Fabrication of flocculation-resistant pH/ionic strength/temperature multiresponsive hollow microspheres and their controlled release.制备抗絮凝的 pH/离子强度/温度多重响应性中空微球及其控制释放。
Mol Pharm. 2012 Jan 1;9(1):91-101. doi: 10.1021/mp200269r. Epub 2011 Nov 30.

本文引用的文献

1
Electrostatic Assembly of Sandwich-like Ag-C@ZnO-C@Ag-C Hybrid Hollow Microspheres with Excellent High-Rate Lithium Storage Properties.夹心状 Ag-C@ZnO-C@Ag-C 杂化中空微球的静电组装及其优异的倍率锂离子存储性能。
ACS Nano. 2016 Jan 26;10(1):1283-91. doi: 10.1021/acsnano.5b06650. Epub 2015 Dec 3.
2
Mussel-Inspired Photografting on Colloidal Spheres: A Generalized Self-Template Route to Stimuli-Responsive Hollow Spheres for Controlled Pesticide Release.胶体球上的贻贝启发式光接枝:一种用于可控农药释放的刺激响应性空心球的通用自模板途径。
Macromol Rapid Commun. 2015 Sep;36(18):1640-5. doi: 10.1002/marc.201500239. Epub 2015 Jul 14.
3
Injectable Peptide Decorated Functional Nanofibrous Hollow Microspheres to Direct Stem Cell Differentiation and Tissue Regeneration.
可注射肽修饰的功能性纳米纤维中空微球用于引导干细胞分化和组织再生。
Adv Funct Mater. 2015 Jan 21;25(3):350-360. doi: 10.1002/adfm.201402618.
4
Monodisperse hollow spheres with sandwich heterostructured shells as high-performance catalysts via an extended SiO2 template method.采用扩展的 SiO2 模板法制备具有三明治异质结构壳的单分散空心球作为高性能催化剂。
Small. 2015 Jan 27;11(4):420-5. doi: 10.1002/smll.201402423. Epub 2014 Sep 16.
5
Core-shell structure of hierarchical quasi-hollow MoS2 microspheres encapsulated porous carbon as stable anode for Li-ion batteries.具有分级准空心 MoS2 微球壳层结构的多孔碳封装作为锂离子电池稳定阳极。
Small. 2014 Dec 10;10(23):4975-81. doi: 10.1002/smll.201401286. Epub 2014 Jul 19.
6
Biomimetic block copolymer particles with gated nanopores and ultrahigh protein sorption capacity.具有门控纳米孔和超高蛋白质吸附能力的仿生嵌段共聚物颗粒。
Nat Commun. 2014 Jun 17;5:4110. doi: 10.1038/ncomms5110.
7
Polystyrene sulphonic acid resins with enhanced acid strength via macromolecular self-assembly within confined nanospace.通过受限纳米空间内大分子自组装增强酸性的聚苯乙烯磺酸树脂。
Nat Commun. 2014;5:3170. doi: 10.1038/ncomms4170.
8
Three-dimensional micro/nano-scale structure fabricated by combination of non-volatile polymerizable RTIL and FIB irradiation.通过非挥发性可聚合室温离子液体与聚焦离子束辐照相结合制备的三维微/纳米尺度结构。
Sci Rep. 2014 Jan 16;4:3722. doi: 10.1038/srep03722.
9
Polystyrenes with hydrophilic end groups: synthesis, characterization, and effects on the self-assembly of breath figure arrays.具有亲水端基的聚苯乙烯:合成、表征及其对呼吸图案阵列自组装的影响。
J Phys Chem B. 2014 Jan 23;118(3):845-54. doi: 10.1021/jp4114392. Epub 2014 Jan 13.
10
Water-dispersable colloidal quantum dots for the detection of ionizing radiation.用于检测电离辐射的水分散胶体量子点。
Chem Commun (Camb). 2013 Dec 25;49(99):11629-31. doi: 10.1039/c3cc46209a.