Suppr超能文献

Bmi1 或 Lgr5 标记的肠癌细胞干细胞通过克隆扩增促进肿瘤的增殖。

Intestinal cancer stem cells marked by Bmi1 or Lgr5 expression contribute to tumor propagation via clonal expansion.

机构信息

Department of Stem Cell Pathology, Kansai Medical University, 2-5-1 Shin-machi, Hirakata, Osaka 573-1010, Japan.

Department of Surgery, Kansai Medical University, 2-5-1 Shin-machi, Hirakata, Osaka 573-1010, Japan.

出版信息

Sci Rep. 2017 Feb 8;7:41838. doi: 10.1038/srep41838.

Abstract

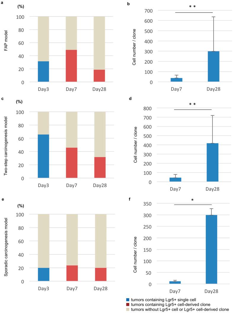
Although the existence of cancer stem cells in intestine tumors has been suggested, direct evidence has not been yet provided. Here, we showed, using the multicolor lineage-tracing method and mouse models of intestinal adenocarcinoma and adenoma that Bmi1- or Lgr5- positive tumorigenic cells clonally expanded in proliferating tumors. At tumor initiation and during tumor propagation in the colon, the descendants of Lgr5-positive cells clonally proliferated to form clusters. Clonal analysis using ubiquitous multicolor lineage tracing revealed that colon tumors derived from Lgr5-positive cells were monoclonal in origin but eventually merged with neighboring tumors, producing polyclonal tumors at the later stage. In contrast, the origin of small intestine tumors was likely polyclonal, and during cancer progression some clones were eliminated, resulting in the formation of monoclonal tumors, which could merge similar to colon tumors. These results suggest that in proliferating intestinal neoplasms, Bmi1- or Lgr5-positive cells represent a population of cancer stem cells, whereas Lgr5-positive cells also function as cells-of-origin for intestinal tumors.

摘要

虽然已经有人提出肠道肿瘤中存在癌症干细胞,但目前尚未提供直接证据。在这里,我们利用多色谱系追踪方法和肠道腺癌及腺瘤的小鼠模型表明,Bmi1 或 Lgr5 阳性的致瘤细胞在增殖性肿瘤中克隆性扩增。在肿瘤起始和结肠传播过程中,Lgr5 阳性细胞的后代克隆性增殖形成簇。利用普遍存在的多色谱系追踪的克隆分析表明,源自 Lgr5 阳性细胞的结肠肿瘤起源于单克隆,但最终与邻近肿瘤融合,在后期形成多克隆肿瘤。相比之下,小肠肿瘤的起源可能是多克隆的,并且在癌症进展过程中,一些克隆被消除,导致形成单克隆肿瘤,这些肿瘤可能类似于结肠肿瘤那样融合。这些结果表明,在增殖性肠道肿瘤中,Bmi1 或 Lgr5 阳性细胞代表了癌症干细胞群体,而 Lgr5 阳性细胞也作为肠道肿瘤的起始细胞。

https://cdn.ncbi.nlm.nih.gov/pmc/blobs/a580/5296906/1b362cca0e64/srep41838-f1.jpg

文献AI研究员

20分钟写一篇综述,助力文献阅读效率提升50倍。

立即体验

用中文搜PubMed

大模型驱动的PubMed中文搜索引擎

马上搜索

文档翻译

学术文献翻译模型,支持多种主流文档格式。

立即体验