Suppr超能文献

除了对淋巴细胞再循环有显著作用外,芬戈莫德还作为一种免疫调节剂,作用于先天性免疫系统。

Fingolimod additionally acts as immunomodulator focused on the innate immune system beyond its prominent effects on lymphocyte recirculation.

作者信息

Thomas Katja, Sehr Tony, Proschmann Undine, Rodriguez-Leal Francisco Alejandro, Haase Rocco, Ziemssen Tjalf

机构信息

Center of Clinical Neuroscience, Department of Neurology, Carl Gustav Carus University Hospital, University of Technology Dresden, Fetscherstr. 74, 01307, Dresden, Germany.

出版信息

J Neuroinflammation. 2017 Feb 23;14(1):41. doi: 10.1186/s12974-017-0817-6.

Abstract

BACKGROUND

Growing evidence emphasizes the relevance of sphingolipids for metabolism and immunity of antigen-presenting cells (APC). APCs are key players in balancing tolerogenic and encephalitogenic responses in immunology. In contrast to the well-known prominent effects of sphingosine-1-phosphate (S1P) on lymphocyte trafficking, modulatory effects on APCs have not been fully characterized.

METHODS

Frequencies and activation profiles of dendritic cell (DC) subtypes, monocytes, and T cell subsets in 35 multiple sclerosis (MS) patients were evaluated prior and after undergoing fingolimod treatment for up to 24 months. Impact of fingolimod and S1P on maturation and activation profile, pro-inflammatory cytokine release, and phagocytotic capacity was assessed in vitro and ex vivo. Modulation of DC-dependent programming of naïve CD4+ T cells, as well as CD4+ and CD8+ T cell proliferation, was also investigated in vitro and ex vivo.

RESULTS

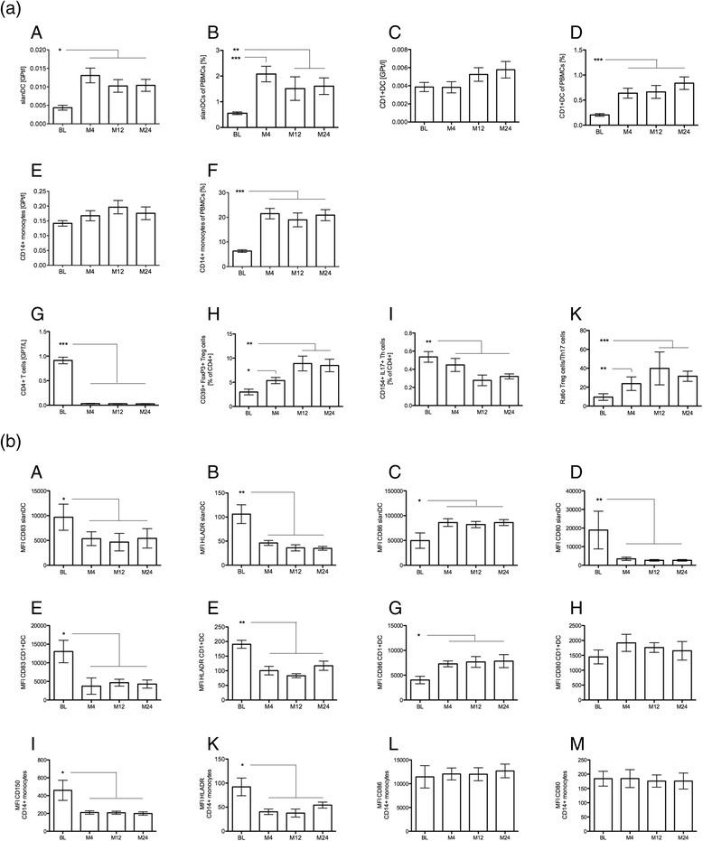
Fingolimod increased peripheral slanDC count-CD1+ DC, and monocyte frequencies remained stable. While CD4+ T cell count decreased, ratio of Treg/Th17 significantly increased in fingolimod-treated patients over time. CD83, CD150, and HLADR were all inhibited, but CD86 was upregulated in DCs after incubation in the presence of fingolimod. Fingolimod but not S1P was associated with reduced release of pro-inflammatory cytokines from DCs and monocytes in vitro and ex vivo. Fingolimod also inhibited phagocytic capacity of slanDCs and monocytes. After fingolimod, slanDCs demonstrated reduced potential to induce interferon-gamma-expressing Th1 or IL-17-expressing Th17 cells and DC-dependent T cell proliferation in vitro and in fingolimod-treated patients.

CONCLUSIONS

We present the first evidence that S1P-directed therapies can act additionally as immunomodulators that decrease the pro-inflammatory capabilities of APCs, which is a crucial element in DC-dependent T cell activation and programming.

摘要

背景

越来越多的证据强调鞘脂类物质与抗原呈递细胞(APC)的代谢和免疫功能相关。在免疫学中,APC是平衡耐受性和致脑炎反应的关键因素。与鞘氨醇-1-磷酸(S1P)对淋巴细胞迁移的显著作用不同,其对APC的调节作用尚未完全明确。

方法

对35例多发性硬化症(MS)患者在接受芬戈莫德治疗长达24个月前后,评估树突状细胞(DC)亚型、单核细胞和T细胞亚群的频率及激活情况。在体外和体内评估芬戈莫德和S1P对成熟度、激活情况、促炎细胞因子释放及吞噬能力的影响。还在体外和体内研究了DC对初始CD4+T细胞的编程调节以及CD4+和CD8+T细胞增殖情况。

结果

芬戈莫德增加了外周血中黏膜相关恒定T细胞(slanDC)计数——CD1+DC,单核细胞频率保持稳定。随着时间推移,芬戈莫德治疗的患者中CD4+T细胞计数下降,而调节性T细胞/辅助性T细胞17(Treg/Th17)比值显著增加。在芬戈莫德存在的情况下孵育后,DC中的CD83、CD150和人类白细胞抗原DR(HLADR)均受到抑制,但CD86上调。芬戈莫德而非S1P与体外和体内DC及单核细胞促炎细胞因子释放减少有关。芬戈莫德还抑制了slanDC和单核细胞的吞噬能力。在芬戈莫德治疗后,slanDC在体外以及在芬戈莫德治疗的患者体内诱导表达干扰素-γ的辅助性T细胞1(Th1)或表达白细胞介素-17的辅助性T细胞17(Th17)细胞以及DC依赖性T细胞增殖的能力降低。

结论

我们首次证明,S1P靶向治疗还可作为免疫调节剂,降低APC的促炎能力,这是DC依赖性T细胞激活和编程的关键要素。

https://cdn.ncbi.nlm.nih.gov/pmc/blobs/198a/5322645/2e53de4c0178/12974_2017_817_Fig1_HTML.jpg

文献AI研究员

20分钟写一篇综述,助力文献阅读效率提升50倍。

立即体验

用中文搜PubMed

大模型驱动的PubMed中文搜索引擎

马上搜索

文档翻译

学术文献翻译模型,支持多种主流文档格式。

立即体验