Suppr超能文献

血清CXCL5作为多发性硬化症和视神经脊髓炎谱系障碍的生物标志物。

Serum CXCL5 as a biomarker in multiple sclerosis and neuromyelitis optica spectrum disorder.

作者信息

Karaaslan Zerrin, Yilmaz Vuslat, Yuceer Hande, Sanli Elif, Akcay Halil Ibrahim, Kurtuncu Murat, Turkoglu Recai, Tuzun Erdem

机构信息

Department of Neuroscience, Istanbul University, Aziz Sancar Institute of Experimental Medicine, Istanbul, Turkiye.

Department of Neurology, Istanbul University Istanbul Faculty of Medicine, Istanbul, Turkiye.

出版信息

North Clin Istanb. 2023 Jun 19;10(3):341-344. doi: 10.14744/nci.2022.77861. eCollection 2023.

Abstract

OBJECTIVE

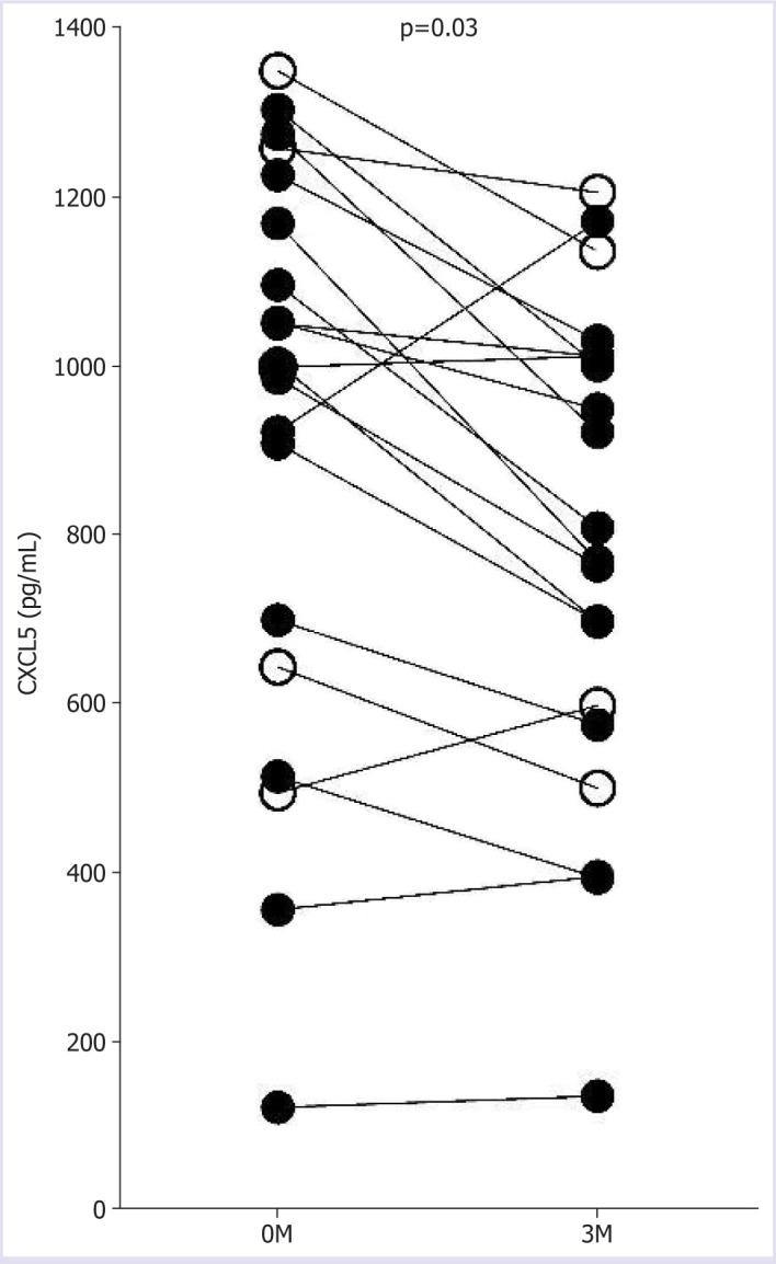
Our aim was to determine whether serum C-X-C motif chemokine 5 (CXCL5) may serve as a diagnostic biomarker for relapsing-remitting multiple sclerosis (RRMS) as well as a marker that can be used to predict treatment response.

METHODS

CXCL5 levels were measured by ELISA in sera of 20 RRMS patients under fingolimod treatment, 10 neuromyelitis optica spectrum disorder (NMOSD) patients, 15 RRMS patients presenting predominantly with spinal cord and optic nerve attacks (MS-SCON), and 14 healthy controls.

RESULTS

Fingolimod treatment significantly reduced CXCL5 levels. CXCL5 levels were comparable among NMOSD and MS-SCON patients.

CONCLUSION

Fingolimod might regulate the innate immune system. Serum CXCL5 measurement does not differentiate between RRMS and NMOSD.

摘要

目的

我们的目的是确定血清C-X-C基序趋化因子5(CXCL5)是否可作为复发缓解型多发性硬化症(RRMS)的诊断生物标志物以及可用于预测治疗反应的标志物。

方法

采用酶联免疫吸附测定法(ELISA)检测20例接受芬戈莫德治疗的RRMS患者、10例视神经脊髓炎谱系障碍(NMOSD)患者、15例主要表现为脊髓和视神经发作的RRMS患者(MS-SCON)以及14名健康对照者血清中的CXCL5水平。

结果

芬戈莫德治疗显著降低了CXCL5水平。NMOSD和MS-SCON患者的CXCL5水平相当。

结论

芬戈莫德可能调节先天性免疫系统。血清CXCL5检测无法区分RRMS和NMOSD。

https://cdn.ncbi.nlm.nih.gov/pmc/blobs/bc34/10331241/405ac70d28a4/NCI-10-341-g001.jpg

文献检索

告别复杂PubMed语法,用中文像聊天一样搜索,搜遍4000万医学文献。AI智能推荐,让科研检索更轻松。

立即免费搜索

文件翻译

保留排版,准确专业,支持PDF/Word/PPT等文件格式,支持 12+语言互译。

免费翻译文档

深度研究

AI帮你快速写综述,25分钟生成高质量综述,智能提取关键信息,辅助科研写作。

立即免费体验