Suppr超能文献

印度海得拉巴人群中冠状动脉疾病临床异质性的遗传决定因素。

Genetic determinants of clinical heterogeneity of the coronary artery disease in the population of Hyderabad, India.

作者信息

Pranavchand Rayabarapu, Kumar Arramraju Sreenivas, Reddy Battini Mohan

机构信息

Molecular Anthropology Group, Biological Anthropology Unit, Indian Statistical Institute, Hyderabad, India.

Department of Cardiology, Care Hospitals, Banjara Hills, Hyderabad, India.

出版信息

Hum Genomics. 2017 Mar 4;11(1):3. doi: 10.1186/s40246-017-0099-1.

Abstract

BACKGROUND

Genetic predisposition to the clinical categories of coronary artery disease (anatomical viz., insignificant, single, double, and triple vessel diseases and phenotypic severity categories viz., angina, acute coronary syndrome, and myocardial infarction) is poorly understood. Particularly, the apolipoprotein genes clustered at 11q23.3 chromosomal region play a vital role in cholesterol homeostasis, and a large number of SNPs identified in this region need to be explored for their association with the clinical categories of CAD.

METHODS

Using fluidigm SNP genotyping platform, a prioritized set of 96 SNPs of 11q23.3 chromosomal region were genotyped on 508 CAD cases and 516 ethnicity matched controls, enrolled from Hyderabad, India, and its vicinity.

RESULTS

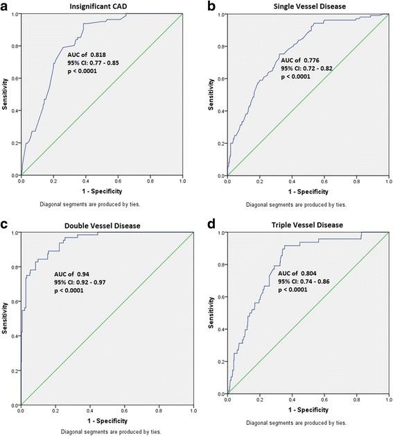
The association analysis suggests 19 and 15 SNPs to be significantly associated (p ≤ 0.05) with at least one of the anatomical and/or phenotypic severity categories, respectively. Overall, the six SNPs rs17440396:G>A, rs6589566:A>G, rs2849165:G>A, rs10488699:G>A, rs1263163:G>A, and rs1263171:G>A were significant even after correction for multiple testing. Three of these (rs17440396:G>A, rs6589566:A>G, and rs2849165:G>A) that belong to BUD13, ZPR1, and APOA5-APOA4 intergenic regions, respectively, were found to be associated across the anatomical categories of CAD. However, no particular trend in the genotypic odds ratios with the increasing severity was apparent. The association analysis of the variants with phenotypic severity categories suggests that a high degree of phenotypic severity could be a result of more number of risk alleles. While the risk score analysis suggests high discriminative power of the variants towards the individual clinical categories of CAD, the complex network of interactions seen between the intronic variants of BUD13 and ZPR1 regulatory genes and intergenic variants of APOA5-APOA4 suggests pleiotropic effects of regulatory genes in the manifestation of these CAD categories.

CONCLUSION

The complex network of interactions observed in the present study between the regulatory and protein-coding genes suggests their role in the manifestation of distinct clinical categories of CAD, which needs to be functionally validated.

摘要

背景

冠状动脉疾病临床分类(解剖学上分为无显著病变、单支血管病变、双支血管病变和三支血管病变,表型严重程度分为心绞痛、急性冠状动脉综合征和心肌梗死)的遗传易感性尚不清楚。特别是,聚集在11q23.3染色体区域的载脂蛋白基因在胆固醇稳态中起重要作用,该区域鉴定出的大量单核苷酸多态性(SNP)需要探索其与冠心病临床分类的关联。

方法

使用Fluidigm SNP基因分型平台,对从印度海得拉巴及其周边地区招募的508例冠心病患者和516例种族匹配的对照进行11q23.3染色体区域96个优先选择的SNP基因分型。

结果

关联分析表明,分别有19个和15个SNP与至少一种解剖学和/或表型严重程度分类显著相关(p≤0.05)。总体而言,即使经过多重检验校正,rs17440396:G>A、rs6589566:A>G、rs2849165:G>A、rs10488699:G>A、rs1263163:G>A和rs1263171:G>A这6个SNP仍具有显著性。其中3个(rs17440396:G>A、rs6589566:A>G和rs2849165:G>A)分别属于BUD13、ZPR1和APOA5 - APOA4基因间区域,被发现与冠心病的解剖学分类相关。然而,随着严重程度增加,基因型优势比没有明显的特定趋势。变异与表型严重程度分类的关联分析表明,高度的表型严重程度可能是由于更多风险等位基因导致的。虽然风险评分分析表明这些变异对冠心病个体临床分类具有较高的鉴别能力,但BUD13和ZPR1调控基因的内含子变异与APOA5 - APOA4基因间变异之间观察到的复杂相互作用网络表明,调控基因在这些冠心病分类的表现中具有多效性作用。

结论

本研究中观察到的调控基因和蛋白质编码基因之间的复杂相互作用网络表明它们在冠心病不同临床分类的表现中起作用,这需要进行功能验证。

https://cdn.ncbi.nlm.nih.gov/pmc/blobs/f860/5336666/c20da67be4f1/40246_2017_99_Fig1_HTML.jpg

文献AI研究员

20分钟写一篇综述,助力文献阅读效率提升50倍。

立即体验

用中文搜PubMed

大模型驱动的PubMed中文搜索引擎

马上搜索

文档翻译

学术文献翻译模型,支持多种主流文档格式。

立即体验