Suppr超能文献

长链非编码RNA PVT1作为黑色素瘤的新型诊断生物标志物和治疗靶点

Long Noncoding RNA PVT1 as a Novel Diagnostic Biomarker and Therapeutic Target for Melanoma.

作者信息

Chen Xiangjun, Gao Guozhen, Liu Sha, Yu Li, Yan Dexiong, Yao Xingwei, Sun Weijing, Han Dezhi, Dong Hao

机构信息

Department of Burn and Plastic Surgery, The 253rd Hospital of PLA, Hohhot, Inner Mongolia 010051, China.

Intensive Care Unit, The 253rd Hospital of PLA, Hohhot, Inner Mongolia 010051, China.

出版信息

Biomed Res Int. 2017;2017:7038579. doi: 10.1155/2017/7038579. Epub 2017 Feb 7.

Abstract

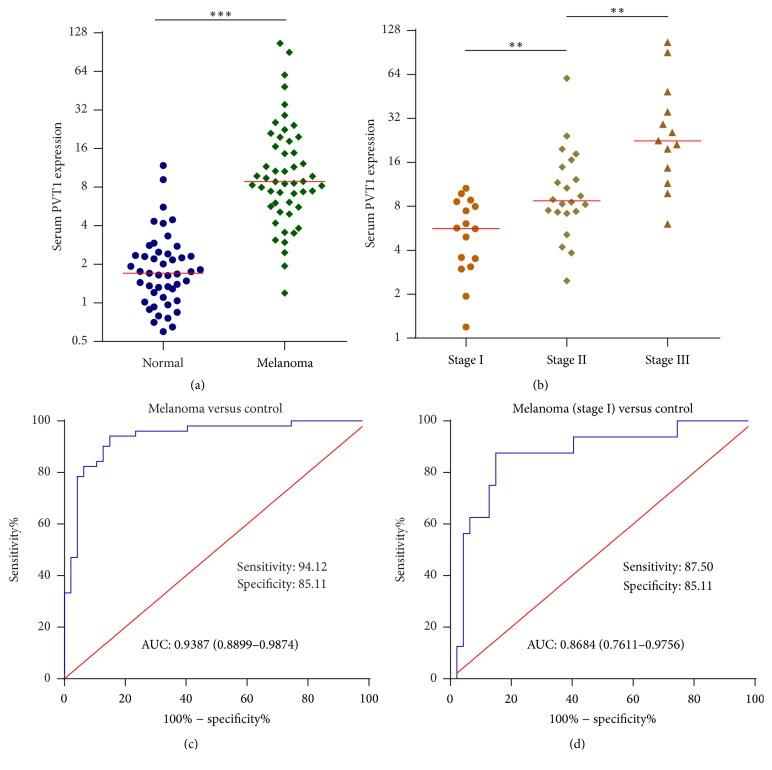
Accumulating evidences indicated that plasmacytoma variant translocation 1 (PVT1) plays vital roles in several cancers. However, the expression, functions, and clinical values of PVT1 in melanoma are still unknown. In this study we measured the expression of PVT1 in clinical tissues and serum samples and explored the diagnostic value of PVT1 for melanoma and the effects of PVT1 on melanoma cell proliferation, cell cycle, and migration. Our results, combined with publicly available PVT1 expression data, revealed that PVT1 is upregulated in melanoma tissues compared with nonneoplastic nevi tissues. Serum PVT1 level is significantly increased in melanoma patients compared with age and gender-matched nonmelanoma controls with melanocytic nevus. Receiver operating characteristic curve analyses revealed that serum PVT1 level could sensitively discriminate melanoma patients from controls. Furthermore, serum PVT1 level indicted melanoma dynamics. Functional experiments showed that overexpression of PVT1 promotes melanoma cells proliferation, cell cycle progression, and migration, while depletion of PVT1 significantly inhibits melanoma cells proliferation, cell cycle progression, and migration. Collectively, our results indicate that PVT1 functions as an oncogene in melanoma and could be a potential diagnostic biomarker and therapeutic target for melanoma.

摘要

越来越多的证据表明,浆细胞瘤变异易位1(PVT1)在多种癌症中发挥着重要作用。然而,PVT1在黑色素瘤中的表达、功能及临床价值仍不清楚。在本研究中,我们检测了临床组织和血清样本中PVT1的表达,并探讨了PVT1对黑色素瘤的诊断价值以及PVT1对黑色素瘤细胞增殖、细胞周期和迁移的影响。我们的结果结合公开的PVT1表达数据显示,与非肿瘤性痣组织相比,黑色素瘤组织中PVT1表达上调。与年龄和性别匹配的有黑素细胞痣的非黑色素瘤对照相比,黑色素瘤患者血清PVT1水平显著升高。受试者工作特征曲线分析显示,血清PVT1水平能够灵敏地区分黑色素瘤患者和对照。此外,血清PVT1水平提示黑色素瘤的动态变化。功能实验表明,PVT1过表达促进黑色素瘤细胞增殖、细胞周期进程和迁移,而PVT1缺失则显著抑制黑色素瘤细胞增殖、细胞周期进程和迁移。总的来说,我们的结果表明PVT1在黑色素瘤中作为癌基因发挥作用,并且可能是黑色素瘤潜在的诊断生物标志物和治疗靶点。

https://cdn.ncbi.nlm.nih.gov/pmc/blobs/90d2/5318621/01024d3c4959/BMRI2017-7038579.001.jpg

文献AI研究员

20分钟写一篇综述,助力文献阅读效率提升50倍。

立即体验

用中文搜PubMed

大模型驱动的PubMed中文搜索引擎

马上搜索

文档翻译

学术文献翻译模型,支持多种主流文档格式。

立即体验