Suppr超能文献

2012年至2014年韩国禽流感病毒监测

Surveillance of avian influenza viruses in South Korea between 2012 and 2014.

作者信息

Lee Eun-Kyoung, Kang Hyun-Mi, Song Byung-Min, Lee Yu-Na, Heo Gyeong-Beum, Lee Hee-Soo, Lee Youn-Jeong, Kim Jae-Hong

机构信息

Avian Disease Division, Animal and Plant Quarantine Agency, 177, Hyeoksin 8-ro, Gimcheon-si, Gyeongsangbuk-do, 39660, Republic of Korea.

College of Veterinary Medicine, Seoul National University, 1, Gwanak-ro, Gwanak-gu, Seoul, 08826, Republic of Korea.

出版信息

Virol J. 2017 Mar 14;14(1):54. doi: 10.1186/s12985-017-0711-y.

Abstract

BACKGROUND

National surveillance of avian influenza virus (AIV) in South Korea has been annually conducted for the early detection of AIV and responses to the introduction of highly pathogenic avian influenza (HPAI) virus. In this study, we report on a nationwide surveillance study of AIV in domestic poultry and wild birds in South Korea between 2012 and 2014.

METHODS

During the surveillance programs between 2012 and 2014, 141,560 samples were collected. Of these, 102,199 were from poultry farms, 8215 were from LBMs, and 31,146 were from wild bird habitats. The virus isolation was performed by inoculation of embryonated chicken eggs and AIV isolates were detected using hemagglutination assay. For subtying of AIV, the hemagglutinin and neuraminidase genes were confirmed by sequencing. Phylogenetic analysis of the H5 subtypes was performed using 28 H5 AIV isolates.

RESULTS

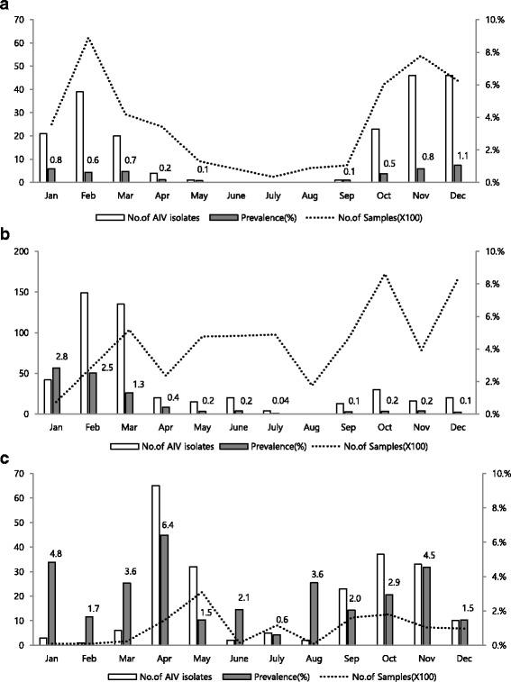
Between 2012 and 2014, a total of 819 AIV were isolated from 141,560 samples. Virus isolation rates for AIV were 0.6, 0.4, 0.1, and 2.7% in wild birds (n = 202), domestic ducks (n = 387), minor poultry (n = 11), and the live bird market (LBM) (n = 219), respectively. In wild birds, various subtypes were found including H1-H7 and H9-H13. The major subtypes were H5 (n = 48, 23.9%: N3 (n = 4) and N8 (n = 44)), H4 (n = 39, 19.4%), and H1 (n = 29, 14.4%). In domestic poultry, mainly ducks, the H5N8 (n = 275, 59.3%), H3 (n = 30, 17.2%), and H6 (n = 53, 11.4%) subtypes were predominantly found. The most frequently detected subtypes in LBM, primarily Korean native chicken, were H9 (n = 169, 77.2%). H3 (n = 10, 4%) and H6 (n = 30, 13.7%) were also isolated in LBM. Overall, the prevalence of AIV was found to be higher between winter and spring and in western parts of South Korea. The unusual high prevalence of the H5 subtype of AIV was due to the large scale outbreak of H5N8 HPAI in wild birds and domestic poultry in 2014.

CONCLUSIONS

Enhanced surveillance and application of effective control measures in wild birds and domestic poultry, including LBM, should be implemented to control AI and eradicate HPAI.

摘要

背景

韩国每年开展禽流感病毒(AIV)国家监测,以尽早发现AIV并应对高致病性禽流感(HPAI)病毒的传入。在本研究中,我们报告了2012年至2014年期间韩国对家禽和野鸟进行的全国性AIV监测研究。

方法

在2012年至2014年的监测项目中,共采集了141,560份样本。其中,102,199份来自家禽养殖场,8215份来自活禽市场,31,146份来自野鸟栖息地。通过接种鸡胚进行病毒分离,并使用血凝试验检测AIV分离株。对于AIV的亚型鉴定,通过测序确认血凝素和神经氨酸酶基因。使用28株H5 AIV分离株对H5亚型进行系统发育分析。

结果

2012年至2014年期间,从141,560份样本中共分离出819株AIV。野鸟(n = 202)、家鸭(n = 387)、小型家禽(n = 11)和活禽市场(LBM)(n = 219)中AIV的病毒分离率分别为0.6%、0.4%、0.1%和2.7%。在野鸟中,发现了包括H1 - H7和H9 - H13在内的多种亚型。主要亚型为H5(n = 48,23.9%:N3(n = 4)和N8(n = 44))、H4(n = 39,19.4%)和H1(n = 29,14.4%)。在家禽中,主要是鸭子,主要发现的亚型为H5N8(n = 275,59.3%)、H3(n = 30,17.2%)和H6(n = 53,11.4%)。活禽市场(主要是韩国土鸡)中最常检测到的亚型是H9(n = 169,77.2%)。活禽市场中也分离出了H3(n = 10,4%)和H6(n = 30,13.7%)。总体而言,发现AIV的流行率在冬季和春季以及韩国西部较高。2014年野鸟和家禽中H5N8 HPAI的大规模爆发导致了AIV H5亚型异常高的流行率。

结论

应加强对野鸟和家禽(包括活禽市场)的监测并实施有效的控制措施,以控制禽流感并根除高致病性禽流感。

https://cdn.ncbi.nlm.nih.gov/pmc/blobs/96ea/5351195/3d91c5b27d0e/12985_2017_711_Fig1_HTML.jpg

文献检索

告别复杂PubMed语法,用中文像聊天一样搜索,搜遍4000万医学文献。AI智能推荐,让科研检索更轻松。

立即免费搜索

文件翻译

保留排版,准确专业,支持PDF/Word/PPT等文件格式,支持 12+语言互译。

免费翻译文档

深度研究

AI帮你快速写综述,25分钟生成高质量综述,智能提取关键信息,辅助科研写作。

立即免费体验