Suppr超能文献

安德森-法布里病的酶替代疗法:通过线性回归和队列研究比例的汇总分析对Cochrane出版物的补充概述。

Enzyme replacement therapy for Anderson-Fabry disease: A complementary overview of a Cochrane publication through a linear regression and a pooled analysis of proportions from cohort studies.

作者信息

El Dib Regina, Gomaa Huda, Ortiz Alberto, Politei Juan, Kapoor Anil, Barreto Fellype

机构信息

Institute of Science and Technology, Unesp - Univ Estadual Paulista, São José dos Campos, Brazil.

McMaster Institute of Urology, McMaster University, Hamilton, Canada.

出版信息

PLoS One. 2017 Mar 15;12(3):e0173358. doi: 10.1371/journal.pone.0173358. eCollection 2017.

Abstract

BACKGROUND

Anderson-Fabry disease (AFD) is an X-linked recessive inborn error of glycosphingolipid metabolism caused by a deficiency of alpha-galactosidase A. Renal failure, heart and cerebrovascular involvement reduce survival. A Cochrane review provided little evidence on the use of enzyme replacement therapy (ERT). We now complement this review through a linear regression and a pooled analysis of proportions from cohort studies.

OBJECTIVES

To evaluate the efficacy and safety of ERT for AFD.

MATERIALS AND METHODS

For the systematic review, a literature search was performed, from inception to March 2016, using Medline, EMBASE and LILACS. Inclusion criteria were cohort studies, patients with AFD on ERT or natural history, and at least one patient-important outcome (all-cause mortality, renal, cardiovascular or cerebrovascular events, and adverse events) reported. The pooled proportion and the confidence interval (CI) are shown for each outcome. Simple linear regressions for composite endpoints were performed.

RESULTS

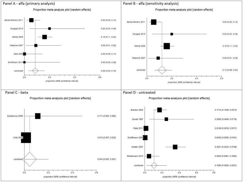
77 cohort studies involving 15,305 participants proved eligible. The pooled proportions were as follows: a) for renal complications, agalsidase alfa 15.3% [95% CI 0.048, 0.303; I2 = 77.2%, p = 0.0005]; agalsidase beta 6% [95% CI 0.04, 0.07; I2 = not applicable]; and untreated patients 21.4% [95% CI 0.1522, 0.2835; I2 = 89.6%, p<0.0001]. Effect differences favored agalsidase beta compared to untreated patients; b) for cardiovascular complications, agalsidase alfa 28% [95% CI 0.07, 0.55; I2 = 96.7%, p<0.0001]; agalsidase beta 7% [95% CI 0.05, 0.08; I2 = not applicable]; and untreated patients 26.2% [95% CI 0.149, 0.394; I2 = 98.8%, p<0.0001]. Effect differences favored agalsidase beta compared to untreated patients; and c) for cerebrovascular complications, agalsidase alfa 11.1% [95% CI 0.058, 0.179; I2 = 70.5%, p = 0.0024]; agalsidase beta 3.5% [95% CI 0.024, 0.046; I2 = 0%, p = 0.4209]; and untreated patients 18.3% [95% CI 0.129, 0.245; I2 = 95% p < 0.0001]. Effect differences favored agalsidase beta over agalsidase alfa or untreated patients. A linear regression showed that Fabry patients receiving agalsidase alfa are more likely to have higher rates of composite endpoints compared to those receiving agalsidase beta.

CONCLUSIONS

Agalsidase beta is associated to a significantly lower incidence of renal, cardiovascular and cerebrovascular events than no ERT, and to a significantly lower incidence of cerebrovascular events than agalsidase alfa. In view of these results, the use of agalsidase beta for preventing major organ complications related to AFD can be recommended.

摘要

背景

安德森 - 法布里病(AFD)是一种X连锁隐性遗传性鞘糖脂代谢紊乱疾病,由α - 半乳糖苷酶A缺乏引起。肾衰竭、心脏和脑血管受累会降低生存率。Cochrane综述几乎没有提供关于酶替代疗法(ERT)使用的证据。我们现在通过线性回归和队列研究比例的汇总分析来补充这一综述。

目的

评估ERT治疗AFD的疗效和安全性。

材料与方法

对于系统评价,从创刊至2016年3月,使用Medline、EMBASE和LILACS进行文献检索。纳入标准为队列研究、接受ERT或自然病程的AFD患者,以及至少报告一项对患者重要的结局(全因死亡率、肾脏、心血管或脑血管事件以及不良事件)。显示每个结局的汇总比例和置信区间(CI)。对复合终点进行简单线性回归。

结果

77项涉及15305名参与者的队列研究被证明符合条件。汇总比例如下:a)对于肾脏并发症,阿加糖酶α为15.3% [95% CI 0.048, 0.303;I2 = 77.2%,p = 0.0005];阿加糖酶β为6% [95% CI 0.04, 0.07;I2 = 不适用];未治疗患者为21.4% [95% CI 0.1522, 0.2835;I2 = 89.6%,p < 0.0001]。与未治疗患者相比,效果差异有利于阿加糖酶β;b)对于心血管并发症,阿加糖酶α为28% [95% CI 0.07, 0.55;I2 = 96.7%,p < 0.0001];阿加糖酶β为7% [95% CI 0.05, 0.08;I2 = 不适用];未治疗患者为26.2% [95% CI 0.149, 0.394;I2 = 98.8%,p < 0.0001]。与未治疗患者相比,效果差异有利于阿加糖酶β;c)对于脑血管并发症,阿加糖酶α为11.1% [95% CI 0.058, 0.179;I2 = 70.5%,p = 0.0024];阿加糖酶β为3.5% [95% CI 0.024, 0.046;I2 = 0%,p = 0.4209];未治疗患者为18.3% [95% CI 0.129, 0.245;I2 = 95%,p < 0.0001]。效果差异有利于阿加糖酶β而非阿加糖酶α或未治疗患者。线性回归显示,与接受阿加糖酶β的患者相比,接受阿加糖酶α的法布里病患者更有可能具有更高的复合终点发生率。

结论

与不进行ERT相比,阿加糖酶β与肾脏、心血管和脑血管事件的发生率显著降低相关,并且与阿加糖酶α相比,脑血管事件的发生率显著降低。鉴于这些结果,可以推荐使用阿加糖酶β来预防与AFD相关的主要器官并发症。

https://cdn.ncbi.nlm.nih.gov/pmc/blobs/7494/5351840/b1393fdc48e9/pone.0173358.g001.jpg

文献检索

告别复杂PubMed语法,用中文像聊天一样搜索,搜遍4000万医学文献。AI智能推荐,让科研检索更轻松。

立即免费搜索

文件翻译

保留排版,准确专业,支持PDF/Word/PPT等文件格式,支持 12+语言互译。

免费翻译文档

深度研究

AI帮你快速写综述,25分钟生成高质量综述,智能提取关键信息,辅助科研写作。

立即免费体验