Suppr超能文献

腭裂修复患者鼻音和鼻化音的评估。

Assessment of nasalance and nasality in patients with a repaired cleft palate.

作者信息

Sinko Klaus, Gruber Maike, Jagsch Reinhold, Roesner Imme, Baumann Arnulf, Wutzl Arno, Denk-Linnert Doris-Maria

机构信息

Department of Cranio-, Maxillofacial and Oral Surgery, Medical University, Waehringer Guertel 18-20, 1090, Vienna, Austria.

Faculty of Psychology, Institute of Clinical Psychology, University of Vienna, Vienna, Austria.

出版信息

Eur Arch Otorhinolaryngol. 2017 Jul;274(7):2845-2854. doi: 10.1007/s00405-017-4506-y. Epub 2017 Mar 15.

Abstract

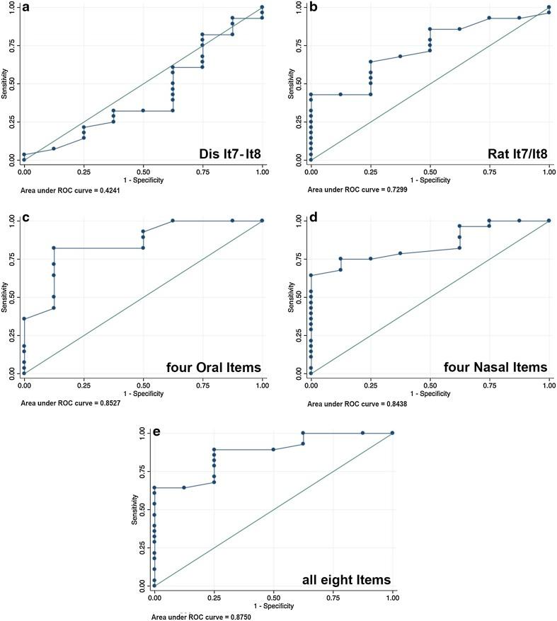
In patients with a repaired cleft palate, nasality is typically diagnosed by speech language pathologists. In addition, there are various instruments to objectively diagnose nasalance. To explore the potential of nasalance measurements after cleft palate repair by NasalView, we correlated perceptual nasality and instrumentally measured nasalance of eight speech items and determined the relationship between sensitivity and specificity of the nasalance measures by receiver-operating characteristics (ROC) analyses and AUC (area under the curve) computation for each single test item and specific item groups. We recruited patients with a primarily repaired cleft palate receiving speech therapy during follow-up. During a single day visit, perceptive and instrumental assessments were obtained in 36 patients and analyzed. The individual perceptual nasality was assigned to one of four categories; the corresponding instrumental nasalance measures for the eight specific speech items were expressed on a metric scale (1-100). With reference to the perceptual diagnoses, we observed 3 nasal and one oral test item with high sensitivity. However, the specificity of the nasality indicating measures was rather low. The four best speech items with the highest sensitivity provided scores ranging from 96.43 to 100%, while the averaged sensitivity of all eight items was below 90%. We conclude that perceptive evaluation of nasality remains state of the art. For clinical follow-up, instrumental nasalance assessment can objectively document subtle changes by analysis of four speech items only. Further studies are warranted to determine the applicability of instrumental nasalance measures in the clinical routine, using discriminative items only.

摘要

在腭裂修复患者中,鼻音通常由言语语言病理学家进行诊断。此外,有多种仪器可用于客观诊断鼻漏气量。为了探索使用NasalView评估腭裂修复后鼻漏气量的潜力,我们对八个语音项目的感知性鼻音和仪器测量的鼻漏气量进行了相关性分析,并通过受试者操作特征(ROC)分析和每个单项测试项目及特定项目组的曲线下面积(AUC)计算,确定了鼻漏气量测量的敏感性和特异性之间的关系。我们招募了在随访期间接受言语治疗的原发性腭裂修复患者。在一次日间就诊中,对36名患者进行了感知性和仪器评估并进行分析。个体的感知性鼻音被分为四类之一;八个特定语音项目相应的仪器鼻漏气量测量结果以量表形式表示(1 - 100)。参照感知性诊断,我们观察到3个鼻音测试项目和1个口腔测试项目具有高敏感性。然而,指示鼻音的测量方法的特异性相当低。四个敏感性最高的最佳语音项目的得分范围为96.43%至100%,而所有八个项目的平均敏感性低于90%。我们得出结论,对鼻音的感知性评估仍然是目前的最佳方法。对于临床随访,仪器鼻漏气量评估仅通过分析四个语音项目就可以客观记录细微变化。有必要进行进一步研究,以确定仅使用具有区分性的项目时,仪器鼻漏气量测量方法在临床常规中的适用性。

https://cdn.ncbi.nlm.nih.gov/pmc/blobs/55f4/5486565/d30a298f7248/405_2017_4506_Fig1_HTML.jpg

文献检索

告别复杂PubMed语法,用中文像聊天一样搜索,搜遍4000万医学文献。AI智能推荐,让科研检索更轻松。

立即免费搜索

文件翻译

保留排版,准确专业,支持PDF/Word/PPT等文件格式,支持 12+语言互译。

免费翻译文档

深度研究

AI帮你快速写综述,25分钟生成高质量综述,智能提取关键信息,辅助科研写作。

立即免费体验