• 文献检索
  • 文档翻译
  • 深度研究
  • 学术资讯
  • Suppr Zotero 插件Zotero 插件
  • 邀请有礼
  • 套餐&价格
  • 历史记录
应用&插件
Suppr Zotero 插件Zotero 插件浏览器插件Mac 客户端Windows 客户端微信小程序
定价
高级版会员购买积分包购买API积分包
服务
文献检索文档翻译深度研究API 文档MCP 服务
关于我们
关于 Suppr公司介绍联系我们用户协议隐私条款
关注我们

Suppr 超能文献

核心技术专利:CN118964589B侵权必究
粤ICP备2023148730 号-1Suppr @ 2026

文献检索

告别复杂PubMed语法,用中文像聊天一样搜索,搜遍4000万医学文献。AI智能推荐,让科研检索更轻松。

立即免费搜索

文件翻译

保留排版,准确专业,支持PDF/Word/PPT等文件格式,支持 12+语言互译。

免费翻译文档

深度研究

AI帮你快速写综述,25分钟生成高质量综述,智能提取关键信息,辅助科研写作。

立即免费体验

非线性混合效应模型揭示了中风后强化伸展训练中学习与表现之间的差异。

Nonlinear mixed-effects model reveals a distinction between learning and performance in intensive reach training post-stroke.

作者信息

Park Hyeshin, Schweighofer Nicolas

机构信息

Biokinesiology and Physical Therapy, University of Southern California, Los Angeles, CA, USA.

出版信息

J Neuroeng Rehabil. 2017 Mar 17;14(1):21. doi: 10.1186/s12984-017-0233-2.

DOI:10.1186/s12984-017-0233-2
PMID:28302158
原文链接:https://pmc.ncbi.nlm.nih.gov/articles/PMC5356348/
Abstract

BACKGROUND

We recently showed that individuals with chronic stroke who completed two sessions of intensive unassisted arm reach training exhibited improvements in movement times up to one month post-training. Here, we study whether changes in movement times during training can predict long-term changes.

METHODS

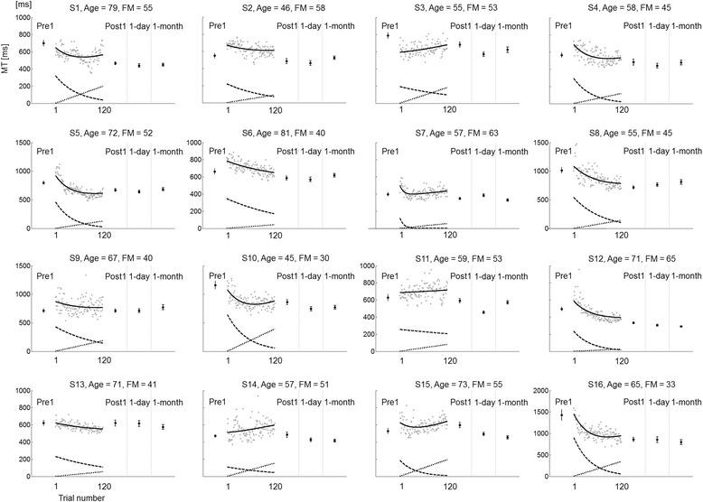
Sixteen participants with chronic stroke and ten non-disabled age-matched participants performed two sessions of reach training with 600 movements per session. Movement time data during training were fitted to a nonlinear mixed-effects model consisting of a decreasing exponential term to model improvements of performance due to learning and an increasing linear term to model worsening of performance due to activity-dependent fatigability and/or other factors unrelated to learning.

RESULTS

For non-disabled age-matched participants, movement times gradually decreased overall during training and overall changes in movement times during training predicted long-term changes. In contrast, for participants post-stroke, movement times often worsened near the end of training. As a result, overall changes in movement times during training did not predict long-term changes in movement times in the stroke group. However, improvements in movement times due to training, as estimated by the exponential term of the model, predicted long-term changes in movement times.

CONCLUSION

Participants post-stroke showed a distinction between learning and performance in unassisted intensive arm reach training. Despite worsening of performance in later trials, extended training was beneficial for long-term gains.

摘要

背景

我们最近发现,完成两期强化无辅助手臂伸展训练的慢性中风患者在训练后长达一个月的时间里运动时间有所改善。在此,我们研究训练期间运动时间的变化是否能预测长期变化。

方法

16名慢性中风患者和10名年龄匹配的非残疾参与者进行了两期伸展训练,每期600次动作。训练期间的运动时间数据被拟合到一个非线性混合效应模型中,该模型由一个递减指数项(用于模拟因学习导致的表现改善)和一个递增线性项(用于模拟因活动依赖性疲劳和/或其他与学习无关的因素导致的表现恶化)组成。

结果

对于年龄匹配的非残疾参与者,训练期间运动时间总体上逐渐减少,训练期间运动时间的总体变化预测了长期变化。相比之下,对于中风后参与者,运动时间在训练接近尾声时往往会变差。因此,训练期间运动时间的总体变化并不能预测中风组运动时间的长期变化。然而,由模型的指数项估计的训练导致的运动时间改善预测了运动时间的长期变化。

结论

中风后参与者在无辅助强化手臂伸展训练中表现出学习与表现之间的差异。尽管后期试验中表现变差,但延长训练对长期收益有益。

https://cdn.ncbi.nlm.nih.gov/pmc/blobs/9d8d/5356348/fcf15adf5fe9/12984_2017_233_Fig6_HTML.jpg
https://cdn.ncbi.nlm.nih.gov/pmc/blobs/9d8d/5356348/21f37b56a7c8/12984_2017_233_Fig1_HTML.jpg
https://cdn.ncbi.nlm.nih.gov/pmc/blobs/9d8d/5356348/6fda4f59fd01/12984_2017_233_Fig2_HTML.jpg
https://cdn.ncbi.nlm.nih.gov/pmc/blobs/9d8d/5356348/50e374543320/12984_2017_233_Fig3_HTML.jpg
https://cdn.ncbi.nlm.nih.gov/pmc/blobs/9d8d/5356348/84b3ac7ea5f1/12984_2017_233_Fig4_HTML.jpg
https://cdn.ncbi.nlm.nih.gov/pmc/blobs/9d8d/5356348/1b4cc0ed228d/12984_2017_233_Fig5_HTML.jpg
https://cdn.ncbi.nlm.nih.gov/pmc/blobs/9d8d/5356348/fcf15adf5fe9/12984_2017_233_Fig6_HTML.jpg
https://cdn.ncbi.nlm.nih.gov/pmc/blobs/9d8d/5356348/21f37b56a7c8/12984_2017_233_Fig1_HTML.jpg
https://cdn.ncbi.nlm.nih.gov/pmc/blobs/9d8d/5356348/6fda4f59fd01/12984_2017_233_Fig2_HTML.jpg
https://cdn.ncbi.nlm.nih.gov/pmc/blobs/9d8d/5356348/50e374543320/12984_2017_233_Fig3_HTML.jpg
https://cdn.ncbi.nlm.nih.gov/pmc/blobs/9d8d/5356348/84b3ac7ea5f1/12984_2017_233_Fig4_HTML.jpg
https://cdn.ncbi.nlm.nih.gov/pmc/blobs/9d8d/5356348/1b4cc0ed228d/12984_2017_233_Fig5_HTML.jpg
https://cdn.ncbi.nlm.nih.gov/pmc/blobs/9d8d/5356348/fcf15adf5fe9/12984_2017_233_Fig6_HTML.jpg

相似文献

1
Nonlinear mixed-effects model reveals a distinction between learning and performance in intensive reach training post-stroke.非线性混合效应模型揭示了中风后强化伸展训练中学习与表现之间的差异。
J Neuroeng Rehabil. 2017 Mar 17;14(1):21. doi: 10.1186/s12984-017-0233-2.
2
Short-Duration and Intensive Training Improves Long-Term Reaching Performance in Individuals With Chronic Stroke.短期强化训练可改善慢性卒中患者的长期伸手够物能力。
Neurorehabil Neural Repair. 2016 Jul;30(6):551-61. doi: 10.1177/1545968315606990. Epub 2015 Sep 24.
3
Dissociating motor learning from recovery in exoskeleton training post-stroke.在脑卒中后的外骨骼训练中,将运动学习与恢复区分开来。
J Neuroeng Rehabil. 2018 Oct 5;15(1):89. doi: 10.1186/s12984-018-0428-1.
4
Short-term ankle motor performance with ankle robotics training in chronic hemiparetic stroke.慢性偏瘫性卒中患者采用踝关节机器人训练的短期踝关节运动表现
J Rehabil Res Dev. 2011;48(4):417-29. doi: 10.1682/jrrd.2010.04.0078.
5
Counteracting learned non-use in chronic stroke patients with reinforcement-induced movement therapy.通过强化诱导运动疗法对抗慢性中风患者的习得性废用。
J Neuroeng Rehabil. 2016 Aug 9;13(1):74. doi: 10.1186/s12984-016-0178-x.
6
Robot-Assisted Reach Training for Improving Upper Extremity Function of Chronic Stroke.机器人辅助伸展训练改善慢性卒中患者上肢功能
Tohoku J Exp Med. 2015 Oct;237(2):149-55. doi: 10.1620/tjem.237.149.
7
How many trials are needed in kinematic analysis of reach-to-grasp?-A study of the drinking task in persons with stroke and non-disabled controls.抓握运动分析中需要进行多少次试验?—一项对脑卒中患者和非残疾对照者饮水任务的研究。
J Neuroeng Rehabil. 2021 Jun 15;18(1):101. doi: 10.1186/s12984-021-00895-3.
8
A single robotic session that guides or increases movement error in survivors post-chronic stroke: which intervention is best to boost the learning of a timing task?单次机器人训练对慢性中风幸存者运动误差的引导或增加:哪种干预措施最能促进定时任务的学习?
Disabil Rehabil. 2017 Aug;39(16):1607-1614. doi: 10.1080/09638288.2016.1205151. Epub 2016 Jul 14.
9
Task-specific training with trunk restraint on arm recovery in stroke: randomized control trial.卒中患者使用躯干约束进行特定任务训练对上肢恢复的影响:随机对照试验
Stroke. 2006 Jan;37(1):186-92. doi: 10.1161/01.STR.0000196940.20446.c9. Epub 2005 Dec 8.
10
Stroke rehabilitation reaches a threshold.中风康复达到了一个临界点。
PLoS Comput Biol. 2008 Aug 22;4(8):e1000133. doi: 10.1371/journal.pcbi.1000133.

引用本文的文献

1
Uncovering locomotor learning dynamics in people with Parkinson's disease.揭示帕金森病患者的运动学习动态。
PLoS One. 2025 Jul 31;20(7):e0326692. doi: 10.1371/journal.pone.0326692. eCollection 2025.
2
Novel evaluation of upper-limb motor performance after stroke based on normal reaching movement model.基于正常伸手运动模型的脑卒中后上肢运动功能的新评估。
J Neuroeng Rehabil. 2023 May 25;20(1):66. doi: 10.1186/s12984-023-01189-6.
3
Predicting motor skill learning in older adults using visuospatial performance.利用视觉空间表现预测老年人的运动技能学习。

本文引用的文献

1
Human motor adaptation in whole body motion.人体在全身运动中的运动适应。
Sci Rep. 2016 Sep 9;6:32868. doi: 10.1038/srep32868.
2
Chunking as the result of an efficiency computation trade-off.作为效率计算权衡的结果的分块。
Nat Commun. 2016 Jul 11;7:12176. doi: 10.1038/ncomms12176.
3
Computational neurorehabilitation: modeling plasticity and learning to predict recovery.计算神经康复:模拟可塑性并学习预测恢复情况。
J Mot Learn Dev. 2020 Apr;8(1):38-51. doi: 10.1123/jmld.2018-0017.
4
How Common Is the Exponential Decay Pattern of Motor Skill Acquisition? A Brief Investigation.运动技能习得的指数衰减模式有多常见?一项简要调查。
Motor Control. 2021 May 13;25(3):451-461. doi: 10.1123/mc.2020-0043.
5
Effects of robot viscous forces on arm movements in chronic stroke survivors: a randomized crossover study.机器人粘性力对慢性中风幸存者手臂运动的影响:一项随机交叉研究。
J Neuroeng Rehabil. 2020 Nov 24;17(1):156. doi: 10.1186/s12984-020-00782-3.
6
The Efficiency, Efficacy, and Retention of Task Practice in Chronic Stroke.慢性脑卒中患者任务练习的效率、效果和保持率。
Neurorehabil Neural Repair. 2020 Oct;34(10):881-890. doi: 10.1177/1545968320948609. Epub 2020 Aug 24.
7
Effect of Contextual Interference in the Practicing of a Computer Task in Individuals Poststroke.情境干扰对脑卒中个体进行计算机任务练习的影响。
Biomed Res Int. 2020 Jul 22;2020:2937285. doi: 10.1155/2020/2937285. eCollection 2020.
8
Dopamine replacement improves motor learning of an upper extremity task in people with Parkinson disease.多巴胺替代治疗可改善帕金森病患者上肢任务的运动学习。
Behav Brain Res. 2020 Jan 13;377:112213. doi: 10.1016/j.bbr.2019.112213. Epub 2019 Sep 14.
9
Locomotor skill acquisition in virtual reality shows sustained transfer to the real world.虚拟现实中的运动技能习得可在现实世界中持续转移。
J Neuroeng Rehabil. 2019 Sep 14;16(1):113. doi: 10.1186/s12984-019-0584-y.
10
Boosting robot-assisted rehabilitation of stroke hemiparesis by individualized selection of upper limb movements - a pilot study.通过个体化选择上肢运动来增强机器人辅助脑卒中偏瘫康复-一项初步研究。
J Neuroeng Rehabil. 2019 Mar 20;16(1):42. doi: 10.1186/s12984-019-0513-0.
J Neuroeng Rehabil. 2016 Apr 30;13(1):42. doi: 10.1186/s12984-016-0148-3.
4
Rapid Responsiveness to Practice Predicts Longer-Term Retention of Upper Extremity Motor Skill in Non-Demented Older Adults.对练习的快速反应能力可预测非痴呆老年人上肢运动技能的长期保持情况。
Front Aging Neurosci. 2015 Nov 18;7:214. doi: 10.3389/fnagi.2015.00214. eCollection 2015.
5
Between-Trial Forgetting Due to Interference and Time in Motor Adaptation.运动适应中因干扰和时间导致的试验间遗忘
PLoS One. 2015 Nov 24;10(11):e0142963. doi: 10.1371/journal.pone.0142963. eCollection 2015.
6
Short-Duration and Intensive Training Improves Long-Term Reaching Performance in Individuals With Chronic Stroke.短期强化训练可改善慢性卒中患者的长期伸手够物能力。
Neurorehabil Neural Repair. 2016 Jul;30(6):551-61. doi: 10.1177/1545968315606990. Epub 2015 Sep 24.
7
Are There Age-Related Differences in the Ability to Learn Configural Responses?学习构型反应的能力是否存在年龄相关差异?
PLoS One. 2015 Aug 28;10(8):e0137260. doi: 10.1371/journal.pone.0137260. eCollection 2015.
8
Neural function, injury, and stroke subtype predict treatment gains after stroke.神经功能、损伤和中风亚型预测中风后的治疗效果。
Ann Neurol. 2015 Jan;77(1):132-45. doi: 10.1002/ana.24309. Epub 2014 Dec 4.
9
The contribution of kinematics in the assessment of upper limb motor recovery early after stroke.运动学在评估脑卒中后早期上肢运动功能恢复中的作用。
Neurorehabil Neural Repair. 2014 Jan;28(1):4-12. doi: 10.1177/1545968313498514. Epub 2013 Aug 1.
10
Fatigue and fatigability in neurologic illnesses: proposal for a unified taxonomy.神经病学疾病中的疲劳和易疲劳性:统一分类法的建议。
Neurology. 2013 Jan 22;80(4):409-16. doi: 10.1212/WNL.0b013e31827f07be.