Santer Roger D
Institute of Biological, Environmental, and Rural Sciences, Aberystwyth University, Aberystwyth, Ceredigion, SY23 3FG United Kingdom.
PLoS Negl Trop Dis. 2017 Mar 17;11(3):e0005448. doi: 10.1371/journal.pntd.0005448. eCollection 2017 Mar.
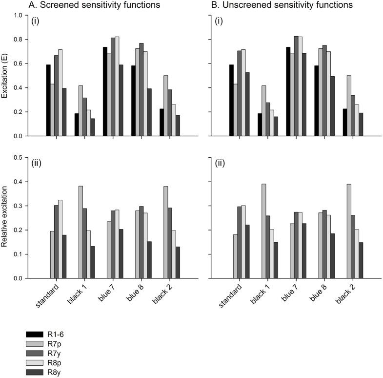
Riverine tsetse transmit the parasites that cause the most prevalent form of human African trypanosomiasis, Gambian HAT. In response to the imperative for cheap and efficient tsetse control, insecticide-treated 'tiny targets' have been developed through refinement of tsetse attractants based on blue fabric panels. However, modern blue polyesters used for this purpose attract many less tsetse than traditional phthalogen blue cottons. Therefore, colour engineering polyesters for improved attractiveness has great potential for tiny target development. Because flies have markedly different photoreceptor spectral sensitivities from humans, and the responses of these photoreceptors provide the inputs to their visually guided behaviours, it is essential that polyester colour engineering be guided by fly photoreceptor-based explanations of tsetse attraction. To this end, tsetse attraction to differently coloured fabrics was recently modelled using the calculated excitations elicited in a generic set of fly photoreceptors as predictors. However, electrophysiological data from tsetse indicate the potential for modified spectral sensitivities versus the generic pattern, and processing of fly photoreceptor responses within segregated achromatic and chromatic channels has long been hypothesised. Thus, I constructed photoreceptor-based models explaining the attraction of G. f. fuscipes to differently coloured tiny targets recorded in a previously published investigation, under differing assumptions about tsetse spectral sensitivities and organisation of visual processing. Models separating photoreceptor responses into achromatic and chromatic channels explained attraction better than earlier models combining weighted photoreceptor responses in a single mechanism, regardless of the spectral sensitivities assumed. However, common principles for fabric colour engineering were evident across the complete set of models examined, and were consistent with earlier work. Tools for the calculation of fly photoreceptor excitations are available with this paper, and the ways in which these and photoreceptor-based models of attraction can provide colorimetric values for the engineering of more-attractively coloured polyester fabrics are discussed.
河流型采采蝇传播导致人类非洲锥虫病最常见形式——冈比亚昏睡病的寄生虫。为了应对廉价且高效控制采采蝇的迫切需求,基于蓝色织物面板对采采蝇引诱剂进行改进,开发出了经杀虫剂处理的“微小目标”。然而,用于此目的的现代蓝色聚酯纤维吸引的采采蝇比传统酞菁蓝棉布少得多。因此,通过颜色工程改进聚酯纤维的吸引力对于微小目标的开发具有巨大潜力。由于苍蝇的光感受器光谱敏感性与人类明显不同,且这些光感受器的反应为其视觉引导行为提供输入,所以聚酯纤维颜色工程必须以基于苍蝇光感受器的采采蝇吸引解释为指导。为此,最近利用在一组通用苍蝇光感受器中引发的计算激发作为预测因子,对采采蝇对不同颜色织物的吸引力进行了建模。然而,采采蝇的电生理数据表明其光谱敏感性相对于通用模式有改变的可能性,并且长期以来一直有人假设苍蝇光感受器反应在分离的非彩色和彩色通道中进行处理。因此,我构建了基于光感受器的模型,在关于采采蝇光谱敏感性和视觉处理组织的不同假设下,解释了在先前发表的一项调查中记录的冈比亚采采蝇对不同颜色微小目标的吸引力。将光感受器反应分离为非彩色和彩色通道的模型比早期在单一机制中结合加权光感受器反应的模型能更好地解释吸引力,无论假设的光谱敏感性如何。然而,在所研究的完整模型集中,织物颜色工程的共同原则是明显的,并且与早期工作一致。本文提供了计算苍蝇光感受器激发的工具,并讨论了这些工具以及基于光感受器的吸引模型如何为更具吸引力颜色的聚酯织物工程提供色度值。