Suppr超能文献

多粘菌素E诱导的氧化应激参与了对……的快速杀伤。

Oxidative Stress Induced by Polymyxin E Is Involved in Rapid Killing of .

作者信息

Yu Zhiliang, Zhu Yuyi, Qin Wangrong, Yin Jianhua, Qiu Juanping

机构信息

College of Biotechnology and Bioengineering, Zhejiang University of Technology, Hangzhou, China.

出版信息

Biomed Res Int. 2017;2017:5437139. doi: 10.1155/2017/5437139. Epub 2017 Feb 22.

Abstract

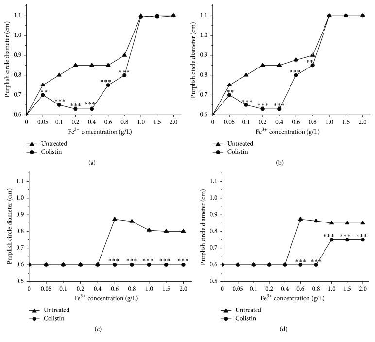
Historically, the colistin has been thought to kill bacteria through membrane lysis. Here, we present an alternative mechanism that colistin induces rapid death through reactive oxygen species production. This significantly augments our understanding of the mechanism of colistin action, which is critical knowledge toward the yield development of colistin in the future.

摘要

从历史上看,人们一直认为黏菌素是通过膜裂解来杀死细菌的。在此,我们提出一种替代机制,即黏菌素通过产生活性氧诱导细菌快速死亡。这显著加深了我们对黏菌素作用机制的理解,而这对于未来黏菌素的产量开发来说是至关重要的知识。

https://cdn.ncbi.nlm.nih.gov/pmc/blobs/80c1/5340943/dbf143f0660b/BMRI2017-5437139.001.jpg

文献AI研究员

20分钟写一篇综述,助力文献阅读效率提升50倍。

立即体验

用中文搜PubMed

大模型驱动的PubMed中文搜索引擎

马上搜索

文档翻译

学术文献翻译模型,支持多种主流文档格式。

立即体验