Suppr超能文献

LrgAB 对转录组的修饰及环境胁迫的影响。

Modification of the transcriptome by LrgAB and environmental stressors.

机构信息

1​Department of Microbiology and Cell Science, Institute of Food and Agricultural Sciences, University of Florida, Gainesville, FL 32611, USA.

†​Present address: Department of Health Outcomes and Policy, College of Medicine, University of Florida, Gainesville, FL 32610, USA.

出版信息

Microb Genom. 2017 Feb 28;3(2):e000104. doi: 10.1099/mgen.0.000104. eCollection 2017 Feb.

Abstract

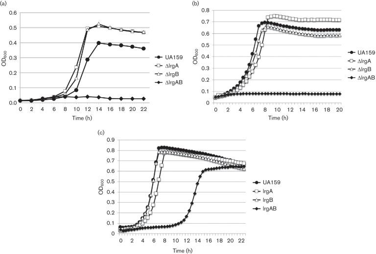
The Cid/Lrg system is central to the physiology of this cariogenic organism, affecting oxidative stress resistance, biofilm formation and competence. Previous transcriptome analyses of (responsible for the regulation of expression) and mutants have revealed pleiotropic effects on carbohydrate metabolism and stress resistance genes. In this study, it was found that an mutant, previously shown to have diminished aerobic and oxidative stress growth, was also much more growth impaired in the presence of heat and vancomycin stresses, relative to wild-type, and mutants. To obtain a more holistic picture of LrgAB and its involvement in stress resistance, RNA sequencing and bioinformatics analyses were used to assess the transcriptional response of wild-type and isogenic mutants under anaerobic (control) and stress-inducing culture conditions (aerobic, heat and vancomycin). Hierarchical clustering and principal components analyses of all differentially expressed genes revealed that the most distinct gene expression profiles between UA159 and mutant occurred during aerobic and high-temperature growth. Similar to previous studies of a mutant, stress transcriptomes were characterized by a variety of gene expression changes related to genomic islands, CRISPR-C as systems, ABC transporters, competence, bacteriocins, glucosyltransferases, protein translation, tricarboxylic acid cycle, carbohydrate metabolism/storage and transport. Notably, expression of was upregulated in the wild-type strain under all three stress conditions. Collectively, these results demonstrate that mutation of alters the transcriptional response to stress, and further support the idea that the Cid/Lrg system acts to promote cell homeostasis in the face of environmental stress.

摘要

cid/Lrg 系统是该致龋生物生理学的核心,影响氧化应激抗性、生物膜形成和感受态。先前对 cidR(负责调节 lrgAB 表达)和 lrgAB 突变体的转录组分析揭示了其对碳水化合物代谢和应激抗性基因的多效性影响。在这项研究中,发现先前显示有氧和氧化应激生长能力减弱的 lrgAB 突变体,在存在热和万古霉素应激时,相对于野生型和 cidR 突变体,生长受到更大的抑制。为了更全面地了解 LrgAB 及其在应激抗性中的作用,使用 RNA 测序和生物信息学分析来评估野生型和同源 lrgAB 突变体在厌氧(对照)和应激诱导培养条件(有氧、热和万古霉素)下的转录响应。所有差异表达基因的层次聚类和主成分分析表明,UA159 和 lrgAB 突变体之间最明显的基因表达谱差异发生在有氧和高温生长期间。与先前 lrgAB 突变体的研究类似,应激转录组的特征是与基因组岛、CRISPR-Cas 系统、ABC 转运蛋白、感受态、细菌素、葡糖基转移酶、蛋白质翻译、三羧酸循环、碳水化合物代谢/储存和运输相关的各种基因表达变化。值得注意的是,在所有三种应激条件下,野生型菌株中的 lrgA 表达均上调。总之,这些结果表明,cidR 突变改变了对应激的转录响应,并进一步支持了 cid/Lrg 系统在面对环境应激时促进细胞内稳态的观点。

https://cdn.ncbi.nlm.nih.gov/pmc/blobs/3beb/5361627/3df97b90144d/mgen-3-104-g001.jpg

文献AI研究员

20分钟写一篇综述,助力文献阅读效率提升50倍。

立即体验

用中文搜PubMed

大模型驱动的PubMed中文搜索引擎

马上搜索

文档翻译

学术文献翻译模型,支持多种主流文档格式。

立即体验