Suppr超能文献

利多卡因-丙胺卡因乳膏可减轻男性患者全身麻醉恢复期导尿管相关膀胱不适:一项前瞻性、随机、病例对照的STROBE研究。

Lidocaine-prilocaine cream reduces catheter-related bladder discomfort in male patients during the general anesthesia recovery period: A prospective, randomized, case-control STROBE study.

作者信息

Mu Li, Geng Li-Cheng, Xu Hui, Luo Man, Geng Jing-Miao, Li Li

机构信息

Department of Nursing Department of Anesthesia, Tianjin Union Medical Center, Tianjin, China.

出版信息

Medicine (Baltimore). 2017 Apr;96(14):e6494. doi: 10.1097/MD.0000000000006494.

Abstract

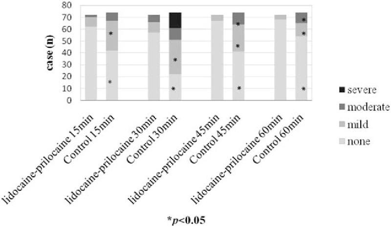
Urethral catheterization is a predictor of agitation during the general anesthesia recovery period. The aim of this study was to determine the effect of intraurethral 5% lidocaine and 25 mg/g prilocaine cream in reducing catheter-related bladder discomfort (CRBD) in male patients during the general anesthesia recovery period. Adult male patients undergoing elective operations that required urinary catheterization under general anesthesia were enrolled and assigned randomly to 2 groups. In the lidocaine-prilocaine cream group (n = 72), approximately 5 g of topical cream was spread in the preputial sac, the glans, the meatus, and on the urinary catheter surface before urinary catheterization. In the control group (n = 74), the urinary catheter was lubricated with lidocaine gel. The incidence and severity of CRBD were assessed 15, 30, 45, and 60 minutes postoperatively. We found that the incidence of CRBD in the lidocaine-prilocaine cream group was significantly lower than in the control group. Multivariate logistic regression analysis showed that lidocaine-prilocaine cream applications reduced moderate or severe CRBD. Thirty minutes postoperation was the most frequent time point for the incidence of CRBD. Application of lidocaine-prilocaine cream on the surface of the urinary catheter is an efficient and safe method to reduce the incidence and severity of CRBD.

摘要

尿道插管是全身麻醉恢复期躁动的一个预测因素。本研究的目的是确定尿道内使用5%利多卡因和25mg/g丙胺卡因乳膏对减少男性患者全身麻醉恢复期导管相关膀胱不适(CRBD)的效果。纳入接受全身麻醉下需要导尿的择期手术的成年男性患者,并随机分为2组。在利多卡因-丙胺卡因乳膏组(n = 72)中,在导尿前将约5g外用乳膏涂抹在包皮囊、龟头、尿道口和导尿管表面。在对照组(n = 74)中,用利多卡因凝胶润滑导尿管。在术后15、30、45和60分钟评估CRBD的发生率和严重程度。我们发现利多卡因-丙胺卡因乳膏组CRBD的发生率显著低于对照组。多因素逻辑回归分析表明,应用利多卡因-丙胺卡因乳膏可降低中度或重度CRBD。术后30分钟是CRBD发生率最频繁的时间点。在导尿管表面涂抹利多卡因-丙胺卡因乳膏是一种有效且安全的方法,可降低CRBD的发生率和严重程度。

https://cdn.ncbi.nlm.nih.gov/pmc/blobs/e0b6/5411198/d7cb4269c30e/medi-96-e6494-g001.jpg

文献AI研究员

20分钟写一篇综述,助力文献阅读效率提升50倍。

立即体验

用中文搜PubMed

大模型驱动的PubMed中文搜索引擎

马上搜索

文档翻译

学术文献翻译模型,支持多种主流文档格式。

立即体验