Prystupa Andrzej, Kiciński Paweł, Luchowska-Kocot Dorota, Błażewicz Anna, Niedziałek Jarosław, Mizerski Grzegorz, Jojczuk Mariusz, Ochal Andrzej, Sak Jarosław J, Załuska Wojciech
Department of Internal Medicine, Medical University of Lublin, Staszica 16, 20-081 Lublin, Poland.
Department of Family Medicine, Medical University of Lublin, Staszica 11, 20-081 Lublin, Poland.
Int J Environ Res Public Health. 2017 Apr 21;14(4):437. doi: 10.3390/ijerph14040437.
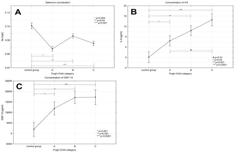
According to some authors, serum selenium levels are strongly associated with the severity of liver diseases, including liver cirrhosis. The aim of this study was to determine the relationship between the concentration of selenium and pro-inflammatory and profibrotic cytokines-interleukin-6 (IL-6) and growth differentiation factor 15 (GDF-15) in patients with alcoholic liver cirrhosis. The parameters studied were determined in the serum of 99 patients with alcoholic liver cirrhosis divided based on the severity of disease according to the Child-Turcotte-Pugh criteria. In patients with liver cirrhosis, the serum selenium concentration was statistically lower, whereas serum IL-6 and GDF-15 concentrations were higher than those in the control group. Moreover, the concentration of selenium negatively correlated with the levels of GDF-15 and IL-6. The above results may indicate a role of selenium deficiency in the pathogenesis and progression of alcoholic liver disease.
根据一些作者的观点,血清硒水平与包括肝硬化在内的肝脏疾病严重程度密切相关。本研究旨在确定酒精性肝硬化患者血清硒浓度与促炎和促纤维化细胞因子白细胞介素-6(IL-6)和生长分化因子15(GDF-15)之间的关系。在99例酒精性肝硬化患者的血清中测定了研究参数,这些患者根据Child-Turcotte-Pugh标准按疾病严重程度进行了分组。肝硬化患者的血清硒浓度在统计学上较低,而血清IL-6和GDF-15浓度高于对照组。此外,硒浓度与GDF-15和IL-6水平呈负相关。上述结果可能表明硒缺乏在酒精性肝病的发病机制和进展中起作用。