• 文献检索
  • 文档翻译
  • 深度研究
  • 学术资讯
  • Suppr Zotero 插件Zotero 插件
  • 邀请有礼
  • 套餐&价格
  • 历史记录
应用&插件
Suppr Zotero 插件Zotero 插件浏览器插件Mac 客户端Windows 客户端微信小程序
定价
高级版会员购买积分包购买API积分包
服务
文献检索文档翻译深度研究API 文档MCP 服务
关于我们
关于 Suppr公司介绍联系我们用户协议隐私条款
关注我们

Suppr 超能文献

核心技术专利:CN118964589B侵权必究
粤ICP备2023148730 号-1Suppr @ 2026

文献检索

告别复杂PubMed语法,用中文像聊天一样搜索,搜遍4000万医学文献。AI智能推荐,让科研检索更轻松。

立即免费搜索

文件翻译

保留排版,准确专业,支持PDF/Word/PPT等文件格式,支持 12+语言互译。

免费翻译文档

深度研究

AI帮你快速写综述,25分钟生成高质量综述,智能提取关键信息,辅助科研写作。

立即免费体验

肌筋膜触发点按压对慢性颈痛的缓解作用通过前额叶皮质和自主神经系统实现:一项初步研究

Compression at Myofascial Trigger Point on Chronic Neck Pain Provides Pain Relief through the Prefrontal Cortex and Autonomic Nervous System: A Pilot Study.

作者信息

Morikawa Yoshiki, Takamoto Kouich, Nishimaru Hiroshi, Taguchi Toru, Urakawa Susumu, Sakai Shigekazu, Ono Taketoshi, Nishijo Hisao

机构信息

System Emotional Science, Graduate School of Medicine and Pharmaceutical Sciences, University of ToyamaToyama, Japan.

Department of Judo Neurophysiotherapy, Graduate School of Medicine and Pharmaceutical Sciences, University of ToyamaToyama, Japan.

出版信息

Front Neurosci. 2017 Apr 11;11:186. doi: 10.3389/fnins.2017.00186. eCollection 2017.

DOI:10.3389/fnins.2017.00186
PMID:28442987
原文链接:https://pmc.ncbi.nlm.nih.gov/articles/PMC5386976/
Abstract

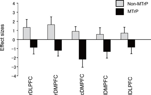
Compression at myofascial trigger points (MTrPs), known as "ischemic compression," has been reported to provide immediate relief of musculoskeletal pain and reduce the sympathetic activity that exacerbates chronic pain. We conducted a pilot study to investigate the possible involvement of the prefrontal cortex in pain relief obtained by MTrP compression in the present study, and analyzed the relationships among prefrontal hemodynamic activity, activity of the autonomic nervous system, and subjective pain in patients with chronic neck pain, with and without MTrP compression. Twenty-one female subjects with chronic neck pain were randomly assigned to two groups: MTrP compression ( = 11) or Non-MTrP compression ( = 10). Compression for 30 s was conducted 4 times. During the experiment, prefrontal hemodynamic activity [changes in Oxy-hemoglobin (Hb), Deoxy-Hb, and Total-Hb concentrations] and autonomic activity based on heart rate variability (HRV) were monitored by using near infrared spectroscopy (NIRS) and electrocardiography (ECG), respectively. The results indicated that MTrP compression significantly reduced subjective pain compared with Non-MTrP compression. The spectral frequency-domain analyses of HRV indicated that a low frequency (LF) component of HRV was decreased, and a high frequency (HF) component of HRV was increased during MTrP compression, while LF/HF ratio was decreased during MTrP compression. In addition, prefrontal hemodynamic activity was significantly decreased during MTrP compression compared with Non-MTrP compression. Furthermore, changes in autonomic activity were significantly correlated with changes in subjective pain and prefrontal hemodynamic activity. Along with previous studies indicating a role for sympathetic activity in the exacerbation of chronic pain, the present results suggest that MTrP compression in the neck region alters the activity of the autonomic nervous system via the prefrontal cortex to reduce subjective pain.

摘要

肌筋膜触发点(MTrP)处的按压,即所谓的“缺血性按压”,据报道可立即缓解肌肉骨骼疼痛,并减少加剧慢性疼痛的交感神经活动。在本研究中,我们进行了一项初步研究,以调查前额叶皮层在通过MTrP按压获得的疼痛缓解中可能的参与情况,并分析了慢性颈痛患者在有和没有MTrP按压时前额叶血流动力学活动、自主神经系统活动和主观疼痛之间的关系。21名患有慢性颈痛的女性受试者被随机分为两组:MTrP按压组(n = 11)或非MTrP按压组(n = 10)。进行4次30秒的按压。在实验过程中,分别使用近红外光谱(NIRS)和心电图(ECG)监测前额叶血流动力学活动[氧合血红蛋白(Hb)、脱氧血红蛋白和总血红蛋白浓度的变化]以及基于心率变异性(HRV)的自主神经活动。结果表明,与非MTrP按压相比,MTrP按压显著减轻了主观疼痛。HRV的频谱频域分析表明,在MTrP按压期间,HRV的低频(LF)成分降低,高频(HF)成分增加,而在MTrP按压期间LF/HF比值降低。此外,与非MTrP按压相比,MTrP按压期间前额叶血流动力学活动显著降低。此外,自主神经活动的变化与主观疼痛和前额叶血流动力学活动的变化显著相关。与先前表明交感神经活动在慢性疼痛加剧中的作用的研究一致,目前的结果表明,颈部区域的MTrP按压通过前额叶皮层改变自主神经系统的活动,以减轻主观疼痛。

https://cdn.ncbi.nlm.nih.gov/pmc/blobs/cd76/5386976/cdd50b646564/fnins-11-00186-g0007.jpg
https://cdn.ncbi.nlm.nih.gov/pmc/blobs/cd76/5386976/9b16c397addd/fnins-11-00186-g0001.jpg
https://cdn.ncbi.nlm.nih.gov/pmc/blobs/cd76/5386976/65b1243504dc/fnins-11-00186-g0002.jpg
https://cdn.ncbi.nlm.nih.gov/pmc/blobs/cd76/5386976/e8600365983a/fnins-11-00186-g0003.jpg
https://cdn.ncbi.nlm.nih.gov/pmc/blobs/cd76/5386976/d84187530778/fnins-11-00186-g0004.jpg
https://cdn.ncbi.nlm.nih.gov/pmc/blobs/cd76/5386976/ad520e911979/fnins-11-00186-g0005.jpg
https://cdn.ncbi.nlm.nih.gov/pmc/blobs/cd76/5386976/a8dc4a3c2fe1/fnins-11-00186-g0006.jpg
https://cdn.ncbi.nlm.nih.gov/pmc/blobs/cd76/5386976/cdd50b646564/fnins-11-00186-g0007.jpg
https://cdn.ncbi.nlm.nih.gov/pmc/blobs/cd76/5386976/9b16c397addd/fnins-11-00186-g0001.jpg
https://cdn.ncbi.nlm.nih.gov/pmc/blobs/cd76/5386976/65b1243504dc/fnins-11-00186-g0002.jpg
https://cdn.ncbi.nlm.nih.gov/pmc/blobs/cd76/5386976/e8600365983a/fnins-11-00186-g0003.jpg
https://cdn.ncbi.nlm.nih.gov/pmc/blobs/cd76/5386976/d84187530778/fnins-11-00186-g0004.jpg
https://cdn.ncbi.nlm.nih.gov/pmc/blobs/cd76/5386976/ad520e911979/fnins-11-00186-g0005.jpg
https://cdn.ncbi.nlm.nih.gov/pmc/blobs/cd76/5386976/a8dc4a3c2fe1/fnins-11-00186-g0006.jpg
https://cdn.ncbi.nlm.nih.gov/pmc/blobs/cd76/5386976/cdd50b646564/fnins-11-00186-g0007.jpg

相似文献

1
Compression at Myofascial Trigger Point on Chronic Neck Pain Provides Pain Relief through the Prefrontal Cortex and Autonomic Nervous System: A Pilot Study.肌筋膜触发点按压对慢性颈痛的缓解作用通过前额叶皮质和自主神经系统实现:一项初步研究
Front Neurosci. 2017 Apr 11;11:186. doi: 10.3389/fnins.2017.00186. eCollection 2017.
2
Analgesic Effects of Compression at Trigger Points Are Associated With Reduction of Frontal Polar Cortical Activity as Well as Functional Connectivity Between the Frontal Polar Area and Insula in Patients With Chronic Low Back Pain: A Randomized Trial.触发点按压对慢性下腰痛患者的镇痛作用与额极皮质活动减少以及额极区与脑岛之间的功能连接性降低相关:一项随机试验。
Front Syst Neurosci. 2019 Nov 13;13:68. doi: 10.3389/fnsys.2019.00068. eCollection 2019.
3
Effects of compression at myofascial trigger points in patients with acute low back pain: A randomized controlled trial.肌筋膜触发点按压对急性下腰痛患者的影响:一项随机对照试验。
Eur J Pain. 2015 Sep;19(8):1186-96. doi: 10.1002/ejp.694. Epub 2015 Mar 24.
4
Significant correlation between autonomic nervous activity and cerebral hemodynamics during thermotherapy on the neck.自主神经活动与颈部热疗期间脑血液动力学之间存在显著相关性。
Auton Neurosci. 2010 Aug 25;156(1-2):96-103. doi: 10.1016/j.autneu.2010.03.011. Epub 2010 Apr 18.
5
Autonomic nerve regulation in joint hypermobility patients with myofascial trigger points by Musculoskeletal Interfiber Counterirritant Stimulation (MICS).肌筋膜触发点肌骨间纤维反向刺激(MICS)对关节活动过度患者肌筋膜触发点的自主神经调节。
Med Eng Phys. 2022 Nov;109:103903. doi: 10.1016/j.medengphy.2022.103903. Epub 2022 Oct 8.
6
Altered Brain Activity and Effective Connectivity within the Nonsensory Cortex during Stimulation of a Latent Myofascial Trigger Point.潜伏性肌筋膜触发点刺激时非感觉皮质内的脑活动和有效连接改变。
Neural Plast. 2022 Aug 12;2022:4416672. doi: 10.1155/2022/4416672. eCollection 2022.
7
Immediate effects of self-myofascial release on latent trigger point sensitivity: a randomized, placebo-controlled trial.自我肌筋膜放松对潜在触发点敏感性的即时影响:一项随机、安慰剂对照试验。
Biol Sport. 2018 Dec;35(4):349-354. doi: 10.5114/biolsport.2018.78055. Epub 2018 Aug 31.
8
The myofascial trigger point region: correlation between the degree of irritability and the prevalence of endplate noise.肌筋膜触发点区域:激惹程度与终板噪声发生率之间的相关性
Am J Phys Med Rehabil. 2007 Mar;86(3):183-9. doi: 10.1097/PHM.0b013e3180320ea7.
9
Changes in blood flow and cellular metabolism at a myofascial trigger point with trigger point release (ischemic compression): a proof-of-principle pilot study.肌筋膜激痛点(缺血性压迫)松解时激痛点处血流和细胞代谢的变化:一项原理验证性初步研究。
Arch Phys Med Rehabil. 2013 Jan;94(1):196-200. doi: 10.1016/j.apmr.2012.08.216. Epub 2012 Sep 11.
10
Specific acupuncture sensation correlates with EEGs and autonomic changes in human subjects.特定的针刺感觉与人体受试者的脑电图及自主神经变化相关。
Auton Neurosci. 2007 May 30;133(2):158-69. doi: 10.1016/j.autneu.2007.01.001. Epub 2007 Feb 22.

引用本文的文献

1
Ultrasound-Guided Stellate Ganglion Block with Cervicotemporal Myofascial Trigger Point Acupuncture for Insomnia with Comorbid Anxiety and Depression: A Retrospective Observational Study.超声引导下星状神经节阻滞联合颈颞部肌筋膜触发点针刺治疗伴焦虑和抑郁共病的失眠:一项回顾性观察研究。
Nat Sci Sleep. 2025 Sep 5;17:2131-2143. doi: 10.2147/NSS.S551748. eCollection 2025.
2
Effect of myofascial release therapy applied to selective muscles on mobility and function in patients with temporomandibular dysfunction and co-occurring chronic low back pain: A randomized controlled trial.颞下颌关节紊乱症合并慢性下背痛患者选择性肌肉肌筋膜松解疗法对活动度和功能的影响:一项随机对照试验
Medicine (Baltimore). 2025 Aug 22;104(34):e44086. doi: 10.1097/MD.0000000000044086.
3

本文引用的文献

1
Heart Rate and Respiratory Rate Influence on Heart Rate Variability Repeatability: Effects of the Correction for the Prevailing Heart Rate.心率和呼吸频率对心率变异性重复性的影响:当前心率校正的效果
Front Physiol. 2016 Aug 18;7:356. doi: 10.3389/fphys.2016.00356. eCollection 2016.
2
Brain structural changes in patients with chronic myofascial pain.慢性肌筋膜疼痛患者的脑结构变化
Eur J Pain. 2017 Jan;21(1):148-158. doi: 10.1002/ejp.911. Epub 2016 Jun 28.
3
Chronic Back Pain Is Associated With Decreased Prefrontal and Anterior Insular Gray Matter: Results From a Population-Based Cohort Study.
Is chronic neck pain related to scapular dyskinesia? A systematic review.慢性颈部疼痛与肩胛运动障碍有关吗?一项系统评价。
BMC Musculoskelet Disord. 2025 Jul 2;26(1):585. doi: 10.1186/s12891-025-08916-1.
4
Myofascial Pain Syndrome: An Update on Clinical Characteristics, Etiopathogenesis, Diagnosis, and Treatment.肌筋膜疼痛综合征:临床特征、病因发病机制、诊断及治疗的最新进展
Muscle Nerve. 2025 May;71(5):889-910. doi: 10.1002/mus.28377. Epub 2025 Mar 20.
5
Global trends and performances of infrared imaging technology studies on acupuncture: a bibliometric analysis.针灸红外成像技术研究的全球趋势与表现:一项文献计量分析
Front Neurosci. 2024 Apr 19;18:1387752. doi: 10.3389/fnins.2024.1387752. eCollection 2024.
6
Massage for neck pain.颈部疼痛按摩。
Cochrane Database Syst Rev. 2024 Feb 28;2(2):CD004871. doi: 10.1002/14651858.CD004871.pub5.
7
Autonomic Recalibration: A Promising Approach for Alleviating Myofascial Pain Explored in a Retrospective Case Series.自主神经重新校准:一种在回顾性病例系列中探索的缓解肌筋膜疼痛的有前景的方法。
Cureus. 2024 Jan 17;16(1):e52450. doi: 10.7759/cureus.52450. eCollection 2024 Jan.
8
Cluster Analysis of Subjective Shoulder Stiffness and Muscle Hardness: Associations with Central Sensitization-Related Symptoms.主观肩部僵硬和肌肉硬度的聚类分析:与中枢敏化相关症状的关联。
Medicina (Kaunas). 2023 Oct 14;59(10):1831. doi: 10.3390/medicina59101831.
9
Sensory and emotional responses to deep pressure stimulation at myofascial trigger points: a pilot study.肌筋膜触发点深部压力刺激的感觉和情绪反应:一项初步研究。
Front Neurosci. 2023 Jul 7;17:1197302. doi: 10.3389/fnins.2023.1197302. eCollection 2023.
10
Dexmedetomidine inhibits abnormal muscle hypertrophy of myofascial trigger points TNF-α/ NF-κB signaling pathway in rats.右美托咪定抑制大鼠肌筋膜触发点的异常肌肉肥大及TNF-α/NF-κB信号通路。
Front Pharmacol. 2022 Nov 3;13:1031804. doi: 10.3389/fphar.2022.1031804. eCollection 2022.
慢性背痛与前额叶和前岛叶灰质减少有关:一项基于人群的队列研究结果
J Pain. 2016 Jan;17(1):111-8. doi: 10.1016/j.jpain.2015.10.003. Epub 2015 Oct 22.
4
Cerebral functional imaging using near-infrared spectroscopy during repeated performances of motor rehabilitation tasks tested on healthy subjects.在健康受试者中重复进行运动康复任务时使用近红外光谱进行大脑功能成像。
Front Hum Neurosci. 2014 May 13;8:292. doi: 10.3389/fnhum.2014.00292. eCollection 2014.
5
Everything Hertz: methodological issues in short-term frequency-domain HRV.赫兹相关的一切:短期频域心率变异性中的方法学问题。
Front Physiol. 2014 May 7;5:177. doi: 10.3389/fphys.2014.00177. eCollection 2014.
6
Kubios HRV--heart rate variability analysis software.Kubios HRV--心率变异性分析软件。
Comput Methods Programs Biomed. 2014;113(1):210-20. doi: 10.1016/j.cmpb.2013.07.024. Epub 2013 Aug 6.
7
The LF/HF ratio does not accurately measure cardiac sympatho-vagal balance.低频/高频比值并不能准确测量心脏交感-迷走神经平衡。
Front Physiol. 2013 Feb 20;4:26. doi: 10.3389/fphys.2013.00026. eCollection 2013.
8
Myofascial trigger points, pain, disability, and sleep quality in individuals with mechanical neck pain.机械性颈痛患者的肌筋膜触发点、疼痛、功能障碍及睡眠质量
J Manipulative Physiol Ther. 2012 Oct;35(8):608-13. doi: 10.1016/j.jmpt.2012.09.003.
9
Etiology of myofascial trigger points.肌筋膜触发点的病因。
Curr Pain Headache Rep. 2012 Oct;16(5):439-44. doi: 10.1007/s11916-012-0289-4.
10
A brief review on the history of human functional near-infrared spectroscopy (fNIRS) development and fields of application.简要回顾人类功能性近红外光谱(fNIRS)发展的历史和应用领域。
Neuroimage. 2012 Nov 1;63(2):921-35. doi: 10.1016/j.neuroimage.2012.03.049. Epub 2012 Mar 28.