Suppr超能文献

用光动力疗法处理的人肿瘤细胞中通过含蛋氨酸肽富集和定量蛋白质组学方法探索 Photofrin 治疗后蛋白质结合的蛋氨酸的氧化。

Oxidation of protein-bound methionine in Photofrin-photodynamic therapy-treated human tumor cells explored by methionine-containing peptide enrichment and quantitative proteomics approach.

机构信息

Molecular Medicine Research Center, College of Medicine, Chang Gung University, Taoyuan, Taiwan.

Graduate Institute of Biomedical Sciences, College of Medicine, Chang Gung University, Taoyuan, Taiwan.

出版信息

Sci Rep. 2017 May 2;7(1):1370. doi: 10.1038/s41598-017-01409-9.

Abstract

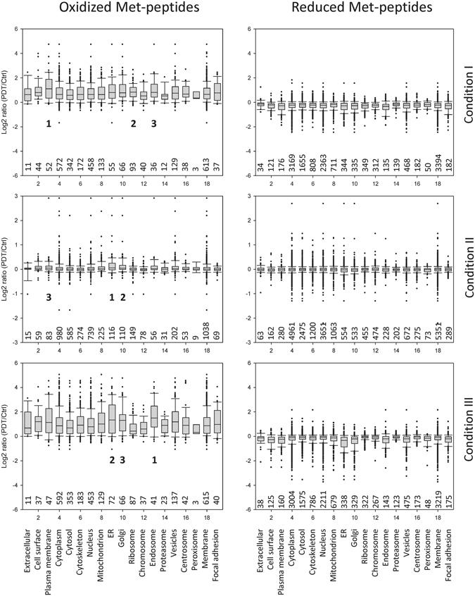
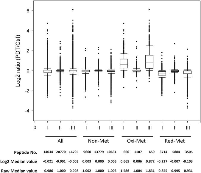
In Photofrin-mediated photodynamic therapy (PDT), cell fate can be modulated by the subcellular location of Photofrin. PDT triggers oxidative damage to target cells, including the methionine (Met) oxidation of proteins. Here, we developed a new Met-containing peptide enrichment protocol combined with SILAC-based quantitative proteomics, and used this approach to explore the global Met oxidation changes of proteins in PDT-treated epidermoid carcinoma A431 cells preloaded with Photofrin at the plasma membrane, ER/Golgi, or ubiquitously. We identified 431 Met-peptides corresponding to 302 proteins that underwent severe oxidation upon PDT and observed overrepresentation of proteins related to the cell surface, plasma membrane, ER, Golgi, and endosome under all three conditions. The most frequently oxidized Met-peptide sequence was "QAMXXMM-E/G/M-S/G-A/G/F-XG". We also identified several hundred potential Photofrin-binding proteins using affinity purification coupled with LC-MS/MS, and confirmed the bindings of EGFR and cathepsin D with Photofrin. The enzyme activities of both proteins were significantly reduced by Photofrin-PDT. Our results shed light on the global and site-specific changes in Met-peptide oxidation among cells undergoing Photofrin-PDT-mediated oxidative stress originating from distinct subcellular sites, and suggest numerous potential Photofrin-binding proteins. These findings provide new insight into the molecular targets through which Photofrin-PDT has diverse effects on target cells.

摘要

在血卟啉单甲醚介导的光动力疗法 (PDT) 中,细胞命运可以通过血卟啉单甲醚的亚细胞位置来调节。PDT 会引发靶细胞的氧化损伤,包括蛋白质的蛋氨酸 (Met) 氧化。在这里,我们开发了一种新的含 Met 肽富集方案,结合 SILAC 定量蛋白质组学,并用这种方法来探索在质膜、内质网/高尔基体或普遍存在的 Photofrin 预加载的 PDT 处理的表皮癌细胞 A431 细胞中蛋白质的全局 Met 氧化变化。我们鉴定了 431 个对应于 302 个蛋白质的 Met-肽,这些蛋白质在 PDT 后发生了严重的氧化,并且在所有三种情况下都观察到与细胞表面、质膜、内质网、高尔基体和内体相关的蛋白质过表达。最常被氧化的 Met-肽序列为“QAMXXMM-E/G/M-S/G-A/G/F-XG”。我们还使用亲和纯化结合 LC-MS/MS 鉴定了数百种潜在的 Photofrin 结合蛋白,并证实了 EGFR 和组织蛋白酶 D 与 Photofrin 的结合。两种蛋白质的酶活性均被 Photofrin-PDT 显著降低。我们的结果阐明了在经历 Photofrin-PDT 介导的氧化应激的细胞中,全局和特定位置的 Met-肽氧化变化,并且提示了许多潜在的 Photofrin 结合蛋白。这些发现为 Photofrin-PDT 通过不同的亚细胞位置对靶细胞产生多种作用的分子靶标提供了新的见解。

https://cdn.ncbi.nlm.nih.gov/pmc/blobs/e678/5431048/195214c36e4c/41598_2017_1409_Fig1_HTML.jpg

文献检索

告别复杂PubMed语法,用中文像聊天一样搜索,搜遍4000万医学文献。AI智能推荐,让科研检索更轻松。

立即免费搜索

文件翻译

保留排版,准确专业,支持PDF/Word/PPT等文件格式,支持 12+语言互译。

免费翻译文档

深度研究

AI帮你快速写综述,25分钟生成高质量综述,智能提取关键信息,辅助科研写作。

立即免费体验