Doß Sandra, Potschka Heike, Doß Fanny, Mitzner Steffen, Sauer Martin
Fraunhofer Institute for Cell Therapy and Immunology, EXIM, Rostock, Germany.
Department of Anesthesiology and Intensive Care Medicine, University Hospital of Rostock, Schillingallee 35, Rostock, Germany.
Biomed Res Int. 2017;2017:9658018. doi: 10.1155/2017/9658018. Epub 2017 Apr 4.
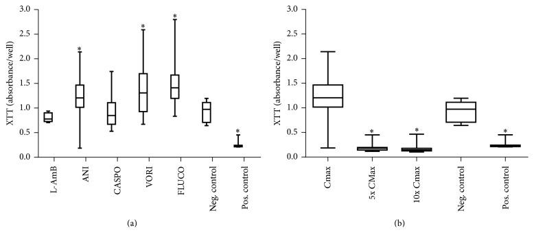
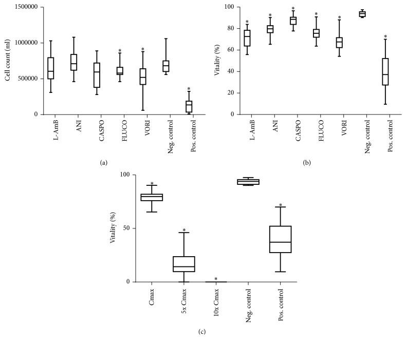
Drug-induced liver injury (DILI) is the most common cause of liver injury and a serious clinical problem; antimycotics are involved in approximately 3% of all DILI cases. The hepatotoxicity of many drugs, including the antimycotics, is poorly screened in human models. In a standardized assay the cytotoxicity on hepatocytes of different concentrations (max, 5x max, and 10x max) of the antimycotics used for systemic infections was tested. Anidulafungin (ANI), liposomal amphotericerin B (L-AmB), caspofungin (CASPO), fluconazole (FLUCO), and voriconazole (VORI) were incubated with HepG2/C3A cells. After incubation, the viability of cells (XTT test, LDH release, trypan blue staining), the synthesis of albumin, the cytochrome 1A2 activity, and the cell death (DNA fragmentation) were determined. Kruskal-Wallis and Mann-Whitney tests were used for statistical analyses. L-AmB, ANI, and CASPO showed a mild hepatotoxicity in the max concentrations. Higher concentrations of anidulafungin led to a severe impairment of hepatocyte viability and function. The azoles FLUCO and VORI had a higher hepatotoxic potential in all concentrations. Antimycotics, especially azoles, used for systemic infections should be given with caution in patient with liver insufficiency or liver failure or high risk for this; therefore, therapeutic drug monitoring should be used. Further studies with this approach are encouraged.
药物性肝损伤(DILI)是肝损伤最常见的原因,也是一个严重的临床问题;抗真菌药约占所有DILI病例的3%。包括抗真菌药在内的许多药物的肝毒性在人体模型中筛查不足。在一项标准化试验中,测试了用于全身感染的不同浓度(最高浓度、5倍最高浓度和10倍最高浓度)抗真菌药对肝细胞的细胞毒性。将阿尼芬净(ANI)、两性霉素B脂质体(L-AmB)、卡泊芬净(CASPO)、氟康唑(FLUCO)和伏立康唑(VORI)与HepG2/C3A细胞孵育。孵育后,测定细胞活力(XTT试验、乳酸脱氢酶释放、台盼蓝染色)、白蛋白合成、细胞色素1A2活性和细胞死亡(DNA片段化)。采用Kruskal-Wallis检验和Mann-Whitney检验进行统计分析。L-AmB、ANI和CASPO在最高浓度时表现出轻度肝毒性。更高浓度的阿尼芬净导致肝细胞活力和功能严重受损。在所有浓度下,氟康唑和伏立康唑这两种唑类药物具有更高的肝毒性潜力。用于全身感染的抗真菌药,尤其是唑类药物,在肝功能不全、肝衰竭或有高风险的患者中应谨慎使用;因此,应进行治疗药物监测。鼓励采用这种方法进行进一步研究。